
Abstract
Roasted coffee brew의
⇒ sequential solvent extraction (순차적 용매추출),
⇒ ultrafiltration (한외 여과), and
⇒ RP-HPLC에 의한 Sensory-guided fractionation (센서리-지원적 분할)이
⇒ 로스트된 커피 음료의 bitter taste에 공헌하는 핵심 화합물들로서
⇒ 커피 로스팅 동안에 O-hydroxycinnamoyl quinic acid derivatives로부터 형성되는
일단의 에틸아세테이트에 가용한 화합물들(ethyl acetate soluble compounds)를 보여주었다.
5-O-caffeoyl- and 5-O-feruloylquinic acid를 가지고 수행된
⇒ LC-MS/MS 스터디들,
⇒ 1D- and 2D-NMR spectroscopy,
⇒ syntheses, 그리고
⇒ model roast experiments이
⇒ 커피의 강렬한 쓴맛 물질들로서
3-O-caffeoyl-γ-quinide (2a),
4-O-caffeoyl-γ-quinide (3a),
5-O-caffeoyl-epi-δ-quinide (4a),
4-O-caffeoyl-muco-γ-quinide (5a),
5-O-caffeoyl-muco-γ-quinide (6a),
3-O-feruloyl-γ-quinide (2b), and
4-O-feruloyl-γ-quinide (3b)를 명확하게 식별하였다.
이들 개별적인 bitter compounds 이외에,
고도로 복합적이고 강렬하게 쓴 HPLC fraction이
⇒ coffee brew의 에틸 아세테이트 추출물(ethyl acetate extractables)로부터 분리되었다.
COSY spectroscopy의 적용과
alkaline hydrolytic degradation이
⇒ 그 fraction의 쓴맛은
각각 p-coumaric acid, caffeic acid, ferulic acid, 3,4-dimethoxycinnamic acid, and quinic acid와
multiply esterified된 다소 복잡한
quinic acid lactone isomers의 multiplicity 덕분이라는 강한 증거를 제공했다.
이 fraction의 대표들로서,
⇒ 3,4-O-dicaffeoyl-γ-quinide (10),
3,5-O-dicaffeoyl-epi-δ-quinide (11), and
4,5-O-dicaffeoyl-muco-γ-quinide (12)가
⇒ 분리되어, 정제되었고, 그리고
⇒ roasted coffee 내의 강하게 쓴맛을 내는 화합물들로 식별되었다.
먼저, bitter taste recognition thresholds가 개별 화합물들의 경우에 결정되었는데
⇒ 식역들은 그들의 화학구조에 크게 의존적이었고
⇒ 쓴맛 식역(역치)은 9.8~180 μmol/l (water)의 범위에 달했다.
Introduction
갓 내린 커피 음료의 인기는 자극적인 효과 외에도, 매혹적인 향과 매력적이고 균형 잡힌 맛의 순수한 즐거움 때문이다.
지난 15년 동안 수행된 플레이버 연구들에 따르면 수백 가지의 휘발성 화합물 중 단지 몇 가지만이 로스팅된 커피의 특징적인 전반적인 아로마에 실제로 기여하는 것으로 나타났다.
gas chromatography-olfactometry (가스 크로마토그래피-후각 분석), quantitative analysis(정량 분석), 아로마 재구성 실험(aroma reconstitution experiments)을 통해 수백 가지의 커피 휘발성 화합물 중 커피의 전형적인 냄새(odour)를 모방하는데 필수적인 향기물질(odorants)은 약 25가지에 불과하다는 것이 인상적으로 입증되었다 [1–3].
향 활성 휘발물질들(aroma-active volatiles)에 비해, 커피 콩 로스팅 과정에서 나타나는 커피의 전형적인 쓴맛의 분자적 기반에 대한 정보는 다소 단편적이다.
20여 년 전, Chen [4]이 수행한 최초 연구에서는 생두에 이미 존재하는 알칼로이드인 카페인(caffeine)과 트리고넬린(trigonelline)이 커피 음료의 전반적인 쓴맛에 각각 최대 10~30%와 1%를 차지하는 것으로 밝혀졌다. 저자는 특히 콩 로스팅 중 맛이 없는 전구체에서 생성된 로스팅 화합물이 커피 추출액의 쓴맛을 유발하는 주요 요인이라고 제안했다.
더 정확하게는,
푸르푸릴알코올 (furfurylalcohol) [5],
5-하이드록시메틸-2-푸란알데히드 (5-hydroxymethyl-2-furanaldehyde),
피라진(pyrazines) 및
다양한 트리고넬린 열분해 산물들(trigonelline thermolysis products) [6]과 같은
여러 헤테로고리 화합물이 로스팅된 커피에서 잠재적인 쓴맛 유발제로 제시되었다.
또한, 일련의 cis 및 trans 배열의 2,5-디케토피페라진(cis- and trans-configured 2,5-diketopiperazines)이
볶은 커피의 쓴맛 성분으로 보고되었지만 [7],
이러한 모든 헤테로고리 화합물이 커피의 쓴맛에 미치는 영향은 아직 불분명하다.
다른 연구 그룹에서는 O-caffeoylquinic acids (chlorogenic acids)과 그들의 로스팅 산물들이
커피에서 관찰되는 쓴맛의 원인일 수 있다는 증거를 발견했다 [8].
볶은 커피에서 분리된 쓴맛 분획(bitter-tasting fraction)에 이러한 클로로겐酸의 락톤 (lactones of such chlorogenic acids)이 포함되어 있다고 보고되었지만, 분리 및 정제된 화합물에 대한 센서리 평가는 지금까지 이루어지지 않았으며, 사람의 쓴맛 검출 식역(bitter detection thresholds)도 결정되지 않았다 [9].
또한, 클로로겐酸의 잘 알려진 열분해 산물인 퀴닉酸(quinic acid)은 10ppm의 식역 수준에서 아스피린과 유사한 쓴맛을 나타내는 것으로 보고되었다. 로스트 커피에서 해당 화합물의 농도는 이 識閾 濃度(threshold concentration)를 20배 초과하는 것으로 나타났으며, 이는 이 화합물이 맛에 기여한다는 증거를 시사한다 [10, 11].
지금까지 문헌에 보고된 이러한 데이터는 다소 모순적이기 때문에, 로스트 커피의 주요 쓴맛 미각 물질의 분자적 특성은 아직 불분명하다고 결론지어야 한다.
식품의 매력적인 맛을 담당하는 비휘발성 핵심 미각 화합물이 무엇인지라는 난해한 질문에 답하기 위해, 최근 우리는 식품에서 미각 활성 비휘발성 화합물(taste-active non-volatiles)을 선별하는 강력한 스크리닝 절차인 소위 맛 희석 분석 (taste dilution analysis)을 개발했다 [12].
기기 분석과 인체 생체 반응을 결합한 이 접근법을 통해
⇒ 열 생성 쓴맛 화합물 (thermally generated bitter compounds)[12],
⇒ 다크 몰트의 청량 화합물 (cooling compounds in dark malt)[13],
⇒ 당근 제품의 쓴맛 異味 화합물 (bitter off-tastants in carrot products)[14],
⇒ 소고기 부용의 미각 증강제 알라피리다인 (taste enhancer alapyridaine in beef bouillon)[15],
⇒ 홍차의 떫은맛 핵심 화합물 (astringent key taste compounds in black-tea infusions)[16] 등
이전에는 알려지지 않았던 다양한 맛 화합물이 발견되었다.
본 연구의 목적은
⇒ 볶은 커피의 쓴맛을 분자 수준에서 정의하는 것이다.
⇒ 맛 희석 기술을 적용하여 볶은 커피 음료의 주요 맛 성분을 선별하고,
⇒ 가장 강렬한 인간의 쓴맛 반응을 유도하는 성분의 화학 구조를 분리하고 결정하며,
⇒ 구강 인식 식역 농도(oral recognition threshold concentrations)에 기반하여 센서리 영향을 평가하는 것이다.
Materials and methods
Chemicals
모든 화학 물질은 Sigma-Aldrich (Taufkirchen, Germany)에서 구입하였고,
용매는 Merck (Darmstadt, Germany)에서 HPLC 등급으로 구입하였으며,
중수소 용매는 Euriso-Top (Gif-Sur-Yvette, France)에서 공급받았다.
콜롬비아산 디카페인 생두와 로스팅된 아라비카 커피 원두는 커피 업계에서 구입했다.
Sensory analyses 관능 분석
최근 보고된 절차[14–16]를 면밀히 따르는 삼각법 시험(triangle test)을 사용하여, 12명으로 구성된 훈련된 센서리 패널을 대상으로 물 (Vitel, 저염분: 405 mg/l; pH 5.0)의 taste recognition threshold concentrations (미각 인지 식역 농도)를 측정했다.
패널은 정기적으로 레퍼런스 화합물을 사용한 훈련 세션에 참여했다.
개인 간 및 세 번의 개별 세션 간의 값은 희석 단계 하나 이상 차이가 없었다.
즉, 카페인에 대한 역치 0.5 mmol/l는 0.25~1.0 mmol/l의 범위를 나타낸다.
Preparation of coffee beverage 커피 음료 준비
커피 원두를 2mm 구경의 체(sieve)가 장착된 초원심분리기(ultra centrifuge mill)(Retsch, Haan, Germany)로 분쇄한 후, 커피 필터(No. 4, Melitta, Germany)에 넣은 커피 분말 54g을 뜨거운 물(1.1L, 80°C)에 침출시켰다.
제조된 커피 음료(1L)를 실온으로 급냉시킨 후 관능 및 화학 분석에 사용하였다.
High vacuum distillation 고진공 증류커피
음료 100ml를 20°C에서 SAFE(solvent assisted flavour evaporation, 용매 보조 플레이버 증발) 장치[17]를 사용하여, 비휘발성 분획과 휘발성 분획으로 분리했다.
수성 증류액과 비휘발성 잔류물을 수돗물(100ml, pH 5.0)에 녹인 후 관능 분석에 사용했다.
Sequential solvent extraction of coffee beverage
커피 음료(CB)의 순차적 용매 추출
커피 음료(250ml)를 펜탄(pentane)(3×100 ml), 에틸 아세테이트(ethyl acetate)(6×100 ml), 클로로포름(chloroform)(3×100 ml)으로 순차적으로 추출했다.
각 추출 단계의 유기층을 진공 상태에서 용매로부터 제거하여
⇒ 펜탄 추출물(CB- fraction I),
⇒ 에틸 아세테이트 추출물(CB- fraction II),
⇒ 클로로포름 추출물(CB- fraction III)을 얻었다.
CB- fraction I~III과 나머지 수용성 커피 분획(CB- fraction IV)은 고진공 승화(high vacuum sublimation) 및 삼중 동결건조(triple freeze-drying) 프로시져를 통해 미량의 용매를 제거하였고, 그 yields는 중량으로 측정하였으며, 맛 프로필은 Table 1과 같이 수용액(250ml, pH 5.0)에서 평가하였다.
Multiple-step ultrafiltration 多段階 限外濾過
- 커피 음료(400ml)에서 분리한 CB- fraction II를 물(400ml, pH 5.0)에 재용해시킨 후,
YM 1 membrane (Millipore, Bedford, MA)을 사용하는
限外濾過 셀(ultrafiltration cell)(Amicon, Witten, Germany)을 사용하여 질소 압력 3 bar에서 분획하였다. - 동결건조 후
- 저분자량 부분(LMW, MW<1 kDa)과
고분자량 부분(HMW, MW>1 kDa)의 yields를 중량으로 측정하였고 (Table 1), - 잔류물은 물(400 ml; pH 5.0)에 녹여 센서리 분석에 사용하였다.

Taste dilution analysis (TDA) 맛 희석 분석
- 커피 음료(1 L)에서 분리한 CB- fraction II를
메탄올(methanol)과 포름산암모늄 수용액(aqueous ammonium formate)(10 mmol, pH 3.5)의
혼합물(7/3; v/v; 10 ml)에 넣고, - 분취량(aliquots)(100 μl)을 분취용 페닐헥실 컬럼 (preparative Phenyl-Hexyl column)
(250 mm×21.2 mm, Luna, Phenomenex, Aschaffenburg, Germany)을 사용하여
HPLC로 분리했다. - 324 nm에서 그 유출액(effluent)을 모니터링하면서,
포름산 수용액(aqueous formic acid)(1.0%, pH 3.5)과 메탄올의 혼합물(75/25, v/v)로 시작하여
메탄올 함량을 45분 이내에 30%까지 증가시키고, 이어서 25분 이내에 100%까지 증가시킨 후,
마지막으로 메탄올 함량을 10분 더 유지했다. - 유출액은 15개 분획(fractions)으로 수집되었고 (Figure 1),
여러 번의 실험에서 얻은 해당 분획들을 합치고 동결건조한 후,
얻어진 잔류물을 물(2.0 ml)에 녹인 후 최근 보고된 바와 같이 TDA 측정에 사용했다 [12, 14–16]. - 세 명의 평가자가 세 번의 다른 세션에서 평가한 taste dilution (TD)-factors (맛 희석 계수)를
평균하여 구했다.

Model-roasting experiments 모델 로스팅 실험
- 5-O-caffeoyl-quinic acid (500mg),
5-O-feruloyl-quinic acid (500mg),
3,4-, 3,5-, 또는 4,5-O-dicaffeoyl-quinic acid (각각 250mg)을 물(3ml)과 혼합한 후, - 개방형 바이알에 담아 70°C에서 30분간 건조하고,
- 마지막으로
5-O-caffeoyl-quinic acid와 5-O-feruoyl-quinic acid은 220°C에서 18분간,
dicaffeoyl-quinic acids는 175°C에서 25분간 로스팅 했다. - 혼합물을 뜨거운 물(100ml, 80°C)에 녹이고 실온으로 식힌 후 에틸 아세테이트(5×25ml)로 추출했다.
- 각 혼합물의 유기층에서 용매를 제거하여 추출 가능한 로스트 생성물인
5-O-caffeoylquinic acid (115mg),
5-O-feruloylquinic acid (100mg),
3,4-(55mg), 3,5-(50mg), 또는 4,5-O- dicaffeoylquinic acid (48mg)을 각각 얻었다. - 메탄올과 ammonium formate 수용액(10mmol; pH 3.5)의 혼합물(7/3, v/v; 10ml)에
용해시킨 잔류물을 HPLC로 분석하였다.
Isolation and identification of 3-, 4-, and 5-O-caffeoyl quinides
- 로스팅된 5-caffeoylquinic acid (1a)에서 분리한
EtOAc 추출물(100mg) 또는 CB- fraction II(100mg)의 분취량을 각각
polyamide (MNSC-6, Macherey & Nagel, Düren, Germany)로 채워진
유리 컬럼(400×35mm) 상단에 적용했다. - 이 컬럼은 메탄올(750ml)로 전처리한 후 물(750ml)로 전처리했다.
- 컬럼을 물(2000ml)로 플러싱하고, 메탄올(1500ml)로 헹군 후,
진공 하에서 용매를 증발시켜 쓴맛이 나는 분리물을 얻었다. - 이 분리물을 포름산암모늄 수용액/메탄올(30/70 v/v; 10ml; pH 5.0)에 용해시킨 후,
반분취형 Phenyl-Hexyl 컬럼(250×10mm, Luna, Phenomenex, Aschaffenburg, Germany)에서
HPLC로 분리하였다. - 324nm에서 유출액을 모니터링하며, 크로마토그래피를 수행하였다.
- 포름산암모늄 수용액(0.5mol/l, pH 3.5)과 메탄올의 혼합물(80/20, v/v)로 시작하여
50분 이내에 메탄올 함량을 25%로 증가시키고,
5분 이내에 50%로 증가시킨 후,
5분 이내에 메탄올 함량을 100%로 증가시켰다. - 피크는 여러 차례의 실험에 걸쳐 개별적으로 수집되었고, 해당 분획의 용출액은 합쳤다.
- 진공에서 용매를 제거한 후, 분획은 메탄올로 처리한 후,
물(각각 10ml)로 처리한 RP-18 카트리지(1g, 6ml, C-18 E, Phenomenex, Aschaffenburg, Germany)를
사용하여 고체상 추출(solid phase extraction, SPE)을 통해 최종 정제되었다. - 시료 적용 후, 카트리지를 물(10ml)로 헹구고,
진공 펌프를 사용하여 15분 동안 카트리지를 통해 질소를 흡입한 후,
마지막으로 메탄올(10ml)로 표적 화합물을 용출시켰다. - 진공에서 용매를 제거한 후, 98% 이상의 순도로 5개의 caffeoylquinide isomers를 얻었다.
- 커피 음료(Fig. 2A)와
roasted 5-O-caffeoylquinic acid mixture (Fig. 2B)에 각각 존재하는
개별 이성질체의 양이 다르기 때문에, - roasted 5-O-caffeoylquinic acid (1a)으로부터
⇒ 5-Ocaffeoyl-epi-δ-quinide (4a),
⇒ 4-O-caffeoyl-muco-γ-quinide (5a), and
⇒ 5-O-caffeoyl-muco-γ-quinide (6a)가 분리되었고, - CB-fraction II으로부터
⇒ 3-caffeoyl-γ-quinide (2a) and
⇒ 4-caffeoyl-γ-quinide (3a)가 분리되었다.



Synthesis of 5-O-feruloylquinic acid (1b)
5-O-Feruloylquinic acid는 Fig. 4에 설명된 대로 일부 수정을 거쳐 이전에 보고된 합성 전략[18]에 따라 제조되었다.
O-Acetylferulic acid.
Acetic anhydride (아세트산 무수물)(50mmol)을 페룰산(ferulic acid)(40mmol)과 DMAP(1mmol)을 피리딘 (pyridine)(20ml)에 녹인 용액에 0°C에서 떨어뜨렸다. 1시간 동안 교반한 후, 혼합물을 얼음 위에 붓고, 수용액을 염산(2mol/l)으로 pH 2로 산성화한 다음, 에틸 아세테이트(3×150ml)로 추출했다. 합쳐진 유기층을 Na2SO4로 건조시키고, 여과 후 진공 하에서 용매를 제거한 후, 잔류물을 경질 석유(light petroleum)/에틸 아세테이트(97/3; v/v; 20ml)로 처리하여 표제 화합물을 흰색 분말로 얻었다 (35mmol, 수율 89%).
LC/MS (ESI⁺): 237.2 (30, [M+H]⁺), 177.0 (90); ¹H NMR (400 MHz; CDCl3 ; arbitrary carbon numbering refers to formula II in Fig. 4): δ 2.32 (s, 3 H, CH3COO), 3.91 (s, 3 H, H–C(6')), 6.42 (d, 1 H, J=15.8 Hz, H–C(5')), 7.10 (d, 1 H, J=8.2 Hz, H–C(3')), 7.16 (d, 1 H, J=1.9 Hz, H–C(1')), 7.18 (dd, 1 H, J=8.2, 1.9 Hz, H–C(2')), 7.76 (d, 1 H, J=15.8 Hz, (H–C(4')).
O-Acetylferulic acid chloride.
옥살릴 클로라이드(Oxalyl chloride)(40 mmol)를 -5°C에서 톨루엔(200 ml)과 DMF(0.5 ml)에 녹인 O-acetylferulic acid (26 mmol) 현탁액에 적가하였다. 실온에서 3시간 동안 교반한 후, 톨루엔과 미반응 옥살릴 클로라이드를 진공에서 제거하고 잔류물을 톨루엔(60 ml)에 용해시켰다. 결정화하여 표제 화합물을 옅은 노란색 분말로 얻었다 (18 mmol, 수율 71%).
¹H NMR (400 MHz; CDCl₃; arbitrary carbon numbering refers to formula III in Fig. 4): δ 2.35 (s, 3 H, CH3COO), 3.91 (s, 3 H, H–C(6')), 6.62 (d, 1 H, J=15.8 Hz, H–C(5')), 7.13 (d, 1 H, J=8.2 Hz, H–C(3')), 7.15 (d, 1 H, J=1.9 Hz, H–C(1')), 7.21 (dd, 1 H, 8.2, 1.9 Hz, H–C(2')), 7.81 (d, 1 H, J=15.8 Hz, (H–C(4')).

Bisacetonide (formula VII in Fig. 4).
트리에틸아민(Triethylamine)(116 mmol)을 -15°C에서 CH2Cl2 (80 ml)에 녹인 퀴닉酸(20.8 mmol; 30℃ 및 3×10−3 bar에서 90분간 예비 건조) 현탁액에 첨가하였다. 반응 혼합물이 투명해진 후, 트리메틸실릴클로라이드 (trimethylsilylchloride)(110 mmol)를 첨가하고 반응 혼합물을 0℃ 이하의 온도를 유지하면서 5시간 동안 교반하였다.
펜탄(Pentane)(200 ml)을 첨가하고, 생성된 침전물을 여과하여 제거한 후, 30℃에서 펜탄(2×150 ml)과 함께 추출하였다.
합친 펜탄 분획물을 진공 상태에서 용매를 제거하고,잔류물을 펜탄에 재용해시킨 후, 남아 있는 미량의 암모늄염(ammonium salt)을 여과하여 제거하였다.
펜탄을 진공에서 제거하여 옅은 노란색 액체인 펜타실릴퀸산(pentasilyl quinic acid)(16.7 mmol, 수율 81%)을 얻었다.
펜타실릴퀸산(11.7 mmol)을 아세톤(acetone)(32 ml)과 DMP(32 ml)에 녹인 용액을 -95℃로 냉각하고, TMS-OTf (2 mmol)를 CH2Cl2 (4 ml)에 녹인 용액을 적가했다. 반응 혼합물을 -45℃ 온도를 올리면서 2시간 동안 교반한 후, 용액을 -32℃에서 24시간 동안 유지한 후, 마지막으로 -80℃로 다시 냉각했다. 반응 혼합물을 포화 NaHCO3 용액(100 ml)에 넣고 수용액을 에틸 아세테이트(150 ml씩 3회)로 추출했다. 합친 유기층을 Na2SO4에 말리고, 여과한 후 진공 하에서 용매를 제거한 후, 얻어진 잔류물을 EtOAc/경유(light petroleum) 혼합물을 이동상으로 사용하여 실리카겔 컬럼 크로마토그래피(4×30cm)로 정제하여 다음 분획을 얻었다 : fraction 1 (25/75; v/v; 400ml), fraction 2 (35/65; v/v; 300ml), fraction 3 (45/55; v/v; 350ml), fraction 4 (55/45; v/v; 400ml), fraction 5 (65/35; v/v; 300ml).
Fraction 5에서 용매를 증발시킨 후, 표제 화합물을 무색 결정으로 얻었다 (7.5mmol, 수율 45%).
LC/MS (ESI+): 273.2 (100, [M+H]+); ¹H NMR (400 MHz; CDCl3; arbitrary carbon numbering refers to formula VI in Fig. 4): δ 1.38 (s, 3H, H3CO), 1.55 (s, 3 H, CH3CO), 1.63 (s, 3 H, CH3CO), 1.65 (s, 3 H, CH3CO), 1.9-2.36 (m, 4 H, H–C(2ax/eq), H–C(6ax/eq)), 4.00–4.10 (m, 2 H, H–C(3eq), H– C(4ax)), 4.50 (dd, 1 H, J=5.6, 4.8 Hz, H–C(5ax)).
Ester (formula VII in Fig. 4)
Pyridine (14 ml)과 O-acetylferuloyl (13 mmol)를 실온에서 CH2Cl2 (50 ml)에 녹인 bisacetonide (4 mmol)와 DMAP (0.75 mmol) 용액에 첨가했다. 20시간 동안 교반한 후, 혼합물을 HCl 수용액(1 mol/l)으로 pH 3.0으로 산성화하고, 두 층을 분리한 후, CH2Cl2 (3×150 ml)를 사용하여 수용액에서 목적 화합물을 추출했다. 합쳐진 유기층을 Na2SO4로 건조한 후 진공 상태에서 용매를 제거한 후 잔류물을 EtOAc/경질 석유(30/70; v/v; 300 ml)를 사용하여 실리카겔(4×30 cm) 컬럼 크로마토그래피로 분리한 다음 EtOAc/경질 석유(35/65; v/v; 650 ml)를 사용하여 분리하여 진공 상태에서 용매를 증발시킨 후 무색 비정질 분말(colourless amorphous powder)형태의 표제 화합물을 얻었다 (3.5 mmol, 수율 89%).
LC/MS (ESI+): 491.2 (100, [M+H]+); 1H NMR (400 MHz; CDCl3 ; arbitrary carbon numbering refers to formula VII in Fig. 4): δ 1.38 (s, 3 H, CH3CO), 1.55 (s, 3 H, CH3CO), 1.63 (s, 3 H, CH3CO), 1.65 (s, 3 H, CH3CO), 1.92–2.33 (m, 4H, H–C(2ax/eq), H–C(6ax/eq)), 2.36 (s, 3 H, CH3COO), 3.87 (s, 3H, H–C(6’)), 5.27 (dd, 1 H, J=7.6, 5.8 Hz, H–C(4ax)), 4.55 (m, 1 H, J=5.8 Hz, H–C(3eq)), 5.27 (ddd, 1 H, J=11.2, 7.6, 4.4 Hz, H–C(5ax)), 6.4 (d, 1 H, J=16 Hz, H–C(5')), 7.04 (d, 1 H, J=8.1 Hz, H–C(3')), 7.10 (d, 1 H, J=1.8 Hz, H–C(1')), 7.12 (dd, 1 H, J=8.1, 1.8 Hz (2')), 7.68 (d, 1 H, J=16 Hz, H–C(4')).
5-O-Feruoylquinic acid (1b; Fig. 4):
에스테르 (ester) (2 mmol)를 수용액 HCl (1 mol/l; 52 ml)과 THF (13 ml)의 혼합물에 현탁시키고, 실온에서 48시간 동안 교반하였다. 수용액 상(aqueous phase)을 NaCl로 포화시키고, EtOAc (3×100 ml)로 추출하였다. 합친 EtOAc 층을 Na2SO4로 건조시키고, 여과하였다. 진공 하에서 용매를 제거한 후, 잔류물을 50℃에서 Et2O (3×10 ml)로 추출하여 5-O-feruloylquinic acid을 백색 무정형 분말로 얻었다 (1.6 mmol, 80%) .
LC/MS (ESI+): 369.2 (90, [M+H]+), 177.2 (100); 1H NMR (400 MHz; MeOD): δ 1.92–2.29 (m, 4 H, H–C(2eq/ax), H–C(6eq/ax)), 3.75 (dd, 1 H, J=8.5, 3.3 Hz, H–C(4ax)), 3.91 (s, 3 H, H–C6'), 4.12–4.20 (m, 1 H, J=3.3 Hz, H-(C3eq)), 5.36 (ddd, 1 H, J=9.2, 8.5, 4.3 Hz, H–C(5ax)), 6.37 (d, 1 H, J=15.9 Hz, H–C(5')), 6.83 (d, 1 H, J=8.2 Hz, H–C(3')), 7.10 (dd, 1H, J=8.2, 1.8 Hz, H–C(2')), 7.20 (d, 1 H, J=1.8 Hz, H–C(1')), 7.64 (d, 1 H, J=15.9 Hz, H–C(4')).

Syntheses of 3-feruloyl-γ-quinide (2b)
-Feruloyl-γ-quinide는 이전에 보고된 절차[19, 20]에 따라 합성되었으며, Fig. 5에 요약된 바와 같이 일부 변형이 이루어졌다.
3,4-Isopropylidene-1,5-quinide.
p-Toluene sulfonic acid (29 mmol)을 아세톤(300 ml)에 녹인 퀴닉酸(78 mmol) 현탁액에 첨가하고, molecular sieve (15 g, 4 Å)가 채워진 extraction thimble이 장착된 Soxleth 장치에서 24시간 동안 환류시켰다.
4℃로 냉각한 후, NaHCO3 (4 g, 48 mmol)를 첨가하고, 혼합물을 1시간 동안 교반한 후 여과했다.
진공 상태에서 여과액에서 용매를 제거한 후 잔류물을 CH2Cl2 (150ml)에서 꺼내고 헥산(150ml)을 첨가하자
3,4-isopropylidene-1,5-quinide가 침전물로 얻어졌다 (73.8mmol, 수율 95%) .
LC/MS (ESI+): 215.2 (100, [M+H]+); 1H NMR (400 MHz; DMSO-d6; arbitrary carbon numbering refers to formula II in Fig. 5): δ 1.34 (s, 3 H, CH3CO), 1.51 (s, 3 H, CH3CO), 2.02 (dd, 1 H, J =14.8, 2.8 Hz, H–C(2ax)), 2.25–2.42 (m, 2 H, H–C(2eq), H–C(6eq)), 2.54 (d, 1 H, J =12.0 Hz, H–C(6ax)), 4.31 (m, 1 H, H–C(3ax)), 4.54 (m, 1 H, H–C(4eq)), 4.69 (dd, 1 H, J = 6.2, 2.6 Hz, H–C(5eq)).
1-O-(2,2,2-Trichloroethoxycarbonyl)-3,4-o-isopropylidene-1,5-quinide.
무수 피리딘(14ml)을 CH2Cl2 (100ml)에 3,4-isopropylidene-1,5-quinide (47mmol) 용액에 첨가한 후, 혼합물을 0℃로 냉각하고 CH2Cl2 (16ml)에 녹인 2,2,2-trichloroethylchloroformate (50mmol) 용액을 적가했다.
실온에서 2시간 동안 교반한 후, CH2Cl2 (100ml)를 첨가하고, HCl (2×100ml, 1mol/l)과 물(100ml)로 차례로 세척한 후, 유기층을 Na2SO4로 건조시키고 여과했다. 여과액을 진공에서 50ml로 농축한 후, 에탄올(100ml)을 첨가한 후,
1-O-(2,2,2-trichloroethoxycarbonyl)-3,4-o-isopropylidene-1,5-quinide를 침전물로 얻었다 (26mmol, 수율 55%) .
LC/MS (ESI+): 389.0 (100, [M+H]+), 391.0 (97, [M+H]+), 393,0 (31, [M+H]+); 1H NMR (400 MHz; CDCl3 ; arbitrary carbon numbering refers to formula III in Fig. 5): δ 1.34 (s, 3H, CH3CO), 1.51 (s, 3H, CH3CO), 2.42 (dd, 1 H, J = 14.8, 2.8 Hz, H–C(2ax)), 2.57 (m, 1 H, H–C(2eq)), 2.67 (d, 1 H, J = 11,2 Hz, H–C(6ax)), 3.08 (m, 1 H, H–C(6eq)), 4.36 (m, 1H, H–C(3ax)), 4.58 (m, 1 H, H–C(4eq)), 4.74 (d, 1 H, J =–10.8 Hz, OCH2Cl3), 4.81 (dd, 1 H, J =6.2, 2.6 Hz, H-C(5eq)), 4.84 (d, 1 H, J = 10.8 Hz, OCH2Cl3).
1-O-(2,2,2-Trichloroethoxycarbonyl-)1,5-quinide.
물(2 ml)을 trichloroacetic acid (82.5 mmol)에 넣고 용액이 투명해질 때까지 40℃에서 교반한 후,
1-O-(2,2,2-trichloroethoxycarbonyl)-3,4-O-isopropy lidene-1,5-quinide (26 mmol)를 실온에서 소량씩 첨가했다.
4시간 동안 교반한 후, 얼음물 (100 ml)과 에틸 아세테이트(200 ml)를 첨가하고, 이어서 NaHCO3 용액(물 200 ml에 89 mmol)을 첨가했다.
유기층을 분리하고, NaHCO3 용액(물 2%, 50 ml)과 물(50 ml)로 추출한 후, 유기층을 Na2SO4로 건조하고 여과한 후, 잔류물을 70°C에서 톨루엔(80 ml)에 용해했다.
4℃에서 하룻밤 동안 보관한 후, 형성된 침전물을 여과하여 목표 화합물을 얻었다 (17.2 mmol, 수율 66%) .
LC/MS (ESI+): 349.0 (100, [M+H]+), 351.0 (96, [M+H]+), 352.0 (31, [M+H] +); 1H NMR (400 MHz; DMSO; arbitrary carbon numbering refers to formula IV in Fig. 5): δ 1.98– 2.04, (m, 1H, H–C(2eq)), 2.12 (t, 1H, J = 11.6, H–C(2ax)), 2.56 (d, 1H, J = 11,2 Hz, H–C(6ax)), 2.86 (m, 1H, H–C(6eq)), 3.61 (m, 1H, H–C(3ax)), 3.90 (t, 1H, J = 4.4 Hz, H–C(4eq)), 4.81 (m, 1H, H–C(5eq)), 4.95 (d, 1H, J = 4.4 Hz, OCH2Cl3).
4-O-(2,2,2-Trichloroethoxycarbonyl) ferulic acid.
2,2,2-Trichloroethyl chloroformate (61 mmol)를 0℃에서 NaOH 수용액(1 mol/l, 140 ml)에 녹인 ferulic acid (51 mmol) 용액에 적가하였다. 혼합물을 20분간 교반한 후, HCl (2 mol/l)을 사용하여 용액의 pH를 7.0으로 조정하고, 생성된 침전물을 여과하여 제거하였다. Water/EtOH (50/50, v/v, 300 ml)로 재결정하여 표제 화합물을 얻었다 (41 mmol, yield 79.6%).
LC/MS (ESI+): 368.9 (100, [M+H] +), 370.9 (95, [M+H]+), 372.9 (32, [M+H]+); 1H NMR (400 MHz; CDCl3 ; arbitrary carbon numbering refers to formula VI in Fig. 5): δ 3.93 (s, 3 H, H–C(6')), 4.91 (s, 2 H, OCH2Cl3), 6.44 (d, 1 H, J = 16 Hz, H–C(5')), 7.22 (m, 3 H, H–C(1'), H–C(2’), H–C(3')), 7.77 (d, 1 H, J = 16 Hz, H–C (4')).
4-O-(2,2,2-Trichloroethoxycarbonyl) feruloyl chloride.
Thionyl chloride (17.3mmol)를 실온에서 4-O-(2,2,2-trichloroethoxycarbonyl) ferulic acid (13.5mmol)에 첨가한 후, 혼합물을 90℃에서 1시간 동안 환류시켰다.
톨루엔(150ml)에서 혼합물을 결정화하여 표제 화합물을 얻었다 (9mmol, 수율 67%).
1H-NMR (400 MHz; CDCl3 ; arbitrary carbon numbering refers to formula VII in Fig. 5): δ 4.17 (s, 3 H, H–C(6')), 5.16 (s, 2 H, OCH2Cl3), 6.88 (d, 1 H, J=16 Hz, H–C(5')), 7.48 (m, 3 H, H–C(1'), H–C(2'), H–C(3')), 8.06 (d, 1 H, J=16 Hz, H–C (4')).
1-O-(2,2,2-Trichloroethoxycarbonyl)-4-O-(2,2,2-trichloroethoxycarbonyl) feruloyl-1,5-quinide.
4-O-(2,2,2-trichloroethoxycarbonyl) ferulic chloride (9 mmol)을 CH2Cl2 (25 ml)에 녹인 용액을 1-O-(2,2,2-trichloroethoxycarbonyl)-1,5-quinide (9 mmol)와 피리딘 (13.8 mmol)을 CH2Cl2 (50 ml)에 녹인 용액에 -40℃로 냉각하면서 적하했다.
-40℃에서 24시간 동안 교반한 후, 용매를 진공에서 제거하고, 잔류물을 에틸 아세테이트 (50ml)에 용해시킨 후, 유기층을 물(100ml), HCl 수용액 (100ml, 0.5 mol/l), 염수(100ml)로 단계적으로 추출하였다. 남은 유기층을 Na2SO4로 건조시키고, 여과 후 용매를 진공에서 제거하였다. 잔류물을 톨루엔(50ml)으로 결정화하여 표제 화합물을 얻었다 (1.7 mmol, 수율 19%) .
LC/MS (ESI+): 700.9 (100, [M+H]+), 702.9 (79, [M+H]+), 698.9 (52, [M+H]+); 1H NMR (400 MHz; CDCl3 ; arbitrary carbon numbering refers to formula VIII in Fig. 5): δ 2.40–2.52 (m, 2 H, H–C(2ax/eq)), 2.80 (d, 1H, J=11,2 Hz, H–C(6ax)), 3.10 (m, 1 H, H–C(6eq)), 3.92 (s, 3 H, H–C(6’)), 4.47 (dd, 1 H, J=4.8, 4.4 Hz, H–C(4eq)), 4.85 (d, 1 H, J=10.8 Hz, OCH2Cl3), 4.92 (s, 2 H, OCH2Cl3), 4.81 (dd, 1 H, J=5.6, 4.8 Hz, H–C(5eq)), 5.14 (m, 1 H, J=11.6, 6.6, 4.4 Hz, H–C(3ax)), 6.40 (d, 1 H, J=16 Hz, H–C(5')), 7.18 (m, 3 H, H–C(1'), H–C(2'), H–C(3')), 7.70 (d, 1 H, J=16 Hz, H–C (4')).
3-Feruoyl-γ -quinide (2b; Fig. 5):
Zink power (0.8 g)와 acetic acid (4.5 ml)을 THF (4.5 ml)에 녹인 1-O-(2,2,2-trichloroethoxycarbonyl)-4-O-(2,2,2-trichloroethoxycarbonyl) feruloyl-1,5-quinide (1.7 mmol) 용액에 첨가하고, 혼합물을 실온에서 3시간 동안 교반하였다. 진공에서 용매를 증발시킨 후, EtOAc (50 ml)를 첨가하고, 용액을 0℃로 냉각시킨 후, 용액을 HCl 수용액 (0.5 mol/l, 20 ml)으로 추출한 후, 염수(20 ml)로 추출하였다. 유기층을 Na2SO4로 건조시키고, 여과 후 진공 하에 용매를 제거하여 잔류물을 얻었고, 이를 물/MeOH(80/20, v/v, 5 ml)에 용해시키고, 메탄올(20 ml)로 컨디셔닝한 RP-18 카트리지 (5 g, 20 ml, Strata Giga Tube, C-18 E, Phenomenx, Aschaffenburg)를 사용하여 정제한 후, 사용 전에 물/MeOH (80/20, v/v, 30 ml)로 컨디셔닝했다. 조시료를 적용한 후, 카트리지를 물(20ml)로 헹군 후, 물/MeOH(80/20, v/v, 20ml)와 물/MeOH(60/40, v/v, 20ml)로 헹구었다. 마지막 두 분획은 진공 상태에서 용매를 제거하고, 잔류물은 에틸 아세테이트(3×50ml)로 추출했다. 진공 상태에서 용매를 제거하여 3-feruloyl-γ-quinide를 얻었다 (1.1mmol, 수율 67%) .
LC/MS (ESI+): 351.1 (100, [M+H]+); 1H NMR (400 MHz; MeOH): δ 2.10–2.18 (m, 2 H, H–C(2ax/eq)), 2.32 (m, 1 H, H–C(6eq)), 2.60 (d, 1 H, J=11,2 Hz, H–C(6ax)), 3.90 (s, 3 H, H–C(6')), 4.31 (dd, 1 H, J=4.8, 4.4 Hz, H–C(4eq)), 4.78 (dd, 1 H, J=5.6, 4.8Hz,H–C(5eq)), 4.95 (m, 1 H, J=11.6, 6.6, 4.4Hz, H–C(3ax)), 6.42 (d, 1 H, J=16 Hz, H–C(5’)), 6.84 (d, 1 H, J=8.1Hz, H–C(3')), 7.11 (dd, 1 H, J=8.1, 1.9Hz,H–C(2')), 7.22 (d, 1 H, J=1.9 Hz, H–C(1')), 7.71 (d, 1 H, J=16 Hz, H–C (4')).
Isolation and identification of 3-, 4-, and 5-O-feruloyl quinides (3b–6b)
5-O-feruloylquinic acid (1b)의 로스팅된 시료에서 분리한 EtOAc 추출물을 HPLC 용매 시스템을 약간 변형하여 5-O-caffeoyl quinides (2a–6a)에 대해 위에서 보고된 절차를 면밀히 따라 분획했다.
포름산암모늄 수용액(0.5 mol/l, pH 3.5)과 메탄올의 혼합액(60/40, v/v)으로 시작하여, 메탄올 함량은 35분 이내에 45%까지 증가하였고, 5분 이내에 100%까지 증가했다.
300nm와 324nm에서 최대 UV/vis 흡수를 나타내는 로스트 제품의 유출액을 여러 차례에 걸쳐 수집하고, 해당 분획의 용출액을 합친 다음, 용매를 진공 상태에서 제거한 후, 개별 3-, 4-, and 5-O-feruoyl quinides (3b–6b)를 위에 자세히 설명한 SPE 절차에 따라 개별적으로 정제하고 건조했다.

Isolation of the bitter-tasting fraction no. 15 from CB-fraction II
커피 음료 (250ml)에서 분리한 CB-fraction II를 물 (pH 3.5, HCOOH로 조정)과 메탄올의 혼합물 (50/50, v/v; 10ml)에 녹인 후, 분취량(3ml)을 물/메탄올 혼합물 (20/80, v/v; pH 3.0)로 컨디셔닝한 LiChroprep RP-18 (25–40 μm, Merck, Darmstadt, Germany)이 채워진 수냉식 유리 컬럼 (20cm×3cm) 위에 도포했다.
메탄올/물 혼합물 20/80(v/v, 200ml, fraction A), 30/70(v/v, 200ml; fraction B), 40/60(v/v, 200ml, fraction C), 50/50(v/v, 200ml, fraction D), 60/40(v/v, 200ml, fraction E), 70/30(v/v; 200ml, fraction F), 및 80/20(v/v, 200ml, fraction G)을 사용하여 크로마토그래피를 수행한 결과, fraction E와 F에서 쓴맛이 나는 화합물이 생성되었고, 이를 합친 후 진공 상태에서 용매를 제거하여 HPLC fraction no. 15 (Fig. 6A)에서 용출되는 복합 피크 패턴을 얻었으며, 수율은 커피 음료에 대해 351.6mg/l였다.
Alkaline degradation of bitter-tasting fraction no. 15
분리된 HPLC fraction no. 15는 두 가지 방법을 사용하여 알칼리성 조건에서 처리되었다.
(A) 물(2ml)에 용해된 fraction no. 15의 분취량(aliquot)(8mg)을 NaOH (1mol/l)로 pH 10으로 조정한 다음, 20℃에서 60분간 교반하고, 마지막으로 HCl 수용액(1mol/l)으로 pH 5.0으로 조정했다.
(B) 물(2ml)에 용해된 HPLC fraction no. 15의 분취량(8mg)을 NaOH(10mol/l)로 pH 13으로 조정한 다음, 60℃에서 60분간 교반하고, 마지막으로 HCl 수용액(5mol/l)으로 pH 5.0으로 조정했다.
알칼리 처리 후, 용액을 HPIC와 HPLC로 분석했다.
분석용 ODS-C 18 컬럼(4.6mm×250mm, Thermo Hypersil, MZ Analysentechnik, Mainz, Germany)을 사용했으며, 포름산 암모늄 (0.1mol/L, pH 3.5)과 메탄올의 혼합물 (60/40, v/v)로 시작하여 10분 이내에 메탄올 함량을 50%까지, 30분 이내에 65%까지 증가시킨 후, 5분 이내에 메탄올 함량을 100%까지 증가시켰다.
레퍼런스 화합물의 retention times, UV-vis 및 LC-MS 데이터와 비교한 결과, 가수분해물 A(Fig. 6B)에서 검출된 화합물은
3-O-caffeoyl- (피크 1),
5-O-caffeoyl- (피크 2),
4-O-caffeoylquinic acid (피크 3),
p-coumaric acid (피크 4),
ferulic acid (피크 5),
5-O-feruoylquinic acid (피크 6) 및
3,4-, 3,5-, 4,5-O- dicaffeoyl-quinic acids (피크 7-8)으로 확인되었다.
가수분해물 B에서는 피크 번호 1–4 (Fig. 6C)는
caffeic acid (m/z 181, [M+1]+),
p-coumaric acid (m/z 165, [M+1]+),
ferulic acid (m/z 195, [M+1]+),
3,4-dimethoxycinnamic acid (m/z 209, [M+1]+)로 확인되었으며,
이는 레퍼런스 물질의 retention times, UV/vis 및 MS 데이터와 비교 분석한 결과이다. 또한, HPIC 분석을 통해 가수분해물에서 quinic acid가 식별되었다.

Isolation of 3,4-, 3,5-, and 4,5-O-dicaffeoyl-quinic acids (7–9)
분쇄된 커피생두 (400g)을 Soxleth 장치를 이용하여 메탄올/물 (70/30; v/v; 500ml)로 2시간 동안 추출했다.
진공에서 냉각하고 메탄올을 제거한 후, 용액을 여과(0.45μm)하고 ODS-C 18 컬럼 (21.2×250mm; Thermo Hypersil, MZ Analysentechnik, Mainz, Germany)을 사용하여 분취용 HPLC로 분획했다.
324nm에서 유출액을 모니터링하며, 포름산 수용액 (1% in water, pH 3.5)과 아세토니트릴의 혼합물 (85/15, v/v)로 시작하여 아세토니트릴 함량을 증가시켜 12분 이내에 25%까지, 15분 이내에 40%까지 증가시킨 후, 마지막으로 아세토니트릴 함량을 5분 동안 40%로 유지했다.
300nm와 324nm에서 예상되는 흡광(absorption) 최대값을 나타내는 피크를 여러 차례에 걸쳐 개별적으로 수집하고, 진공 상태에서 용매를 제거한 후 동결 건조하여 3,4-, 3,5-, 4,5-O-dicaffeoyl quinic acid를 얻었다.

Identification of 3,4-, 3,5-, and 4,5-O-di-caffeoyl quinides (10–12)
3,4-, 3,5-, O-dicaffeoylquinic acid 또는 Ocaffeoylquinic acid의 로스팅된 샘플에서 분리된 EtOAc 추출물을 반분취형(semi-preparative) ODS-C 18 컬럼 (250 mm×10 mm, Thermo Hypersil, MZ Analysentechnik, Mainz, Germany)을 사용하여 HPLC로 직접 분리하였다.
324 nm에서 유출액을 모니터링하면서, 포름산 암모늄 (0.5 mol/l, pH 3.5)과 메탄올의 혼합물(60/40, v/v)로 시작하여, 20분 이내에 메탄올 함량을 60%까지 증가시키고, 이후 10분 동안 메탄올 함량을 유지한 후, 마지막으로 5분 이내에 메탄올 함량을 100%까지 증가시키는 크로마토그래피를 수행하였다.
피크 번호 1에서 용출되는 쓴맛 화합물 3~5 (Fig. 7)는 맛보기(degustation)로 검출되었으며, 여러 차례에 걸쳐 수집하여 용매에서 분리한 다음, 위에 기술한 SPE 절차를 사용하여 정제하고 건조했다.


Chromatography
High pressure liquid chromatography (HPLC)
HPLC 장치 (Kontron, Eching Germany)는 펌프 2개(type 422), 그래디언트 믹서(M800), Rheodyne 인젝터 (100 μl loop), 220~500 nm에서 작동하는 diode array detector (DAD type 540)로 구성되어 있다.
High performance ion chromatography (HPIC)
HPIC 장치(Dionex, Idstein, Germany)는 gradient pump (GS50), autosampler (자동 시료주입기)(AS50), thermal compartment (AS50), 그리고 suppressor column(억제 컬럼)(ASRS Ultra II, 2 mm, 76 mA 억제 전류)이 장착된 conductivity detector(전도도 검출기) (ED50)로 구성되었다.
샘플의 분취량(10 μl)을 guard column (IonPac AG11-HC, 250 mm×2 mm, Dionex, Idstein, Germany)이 장착된 anion exchanger column (음이온 교환 컬럼) (IonPac AS11-HC, 250 mm×2 mm)을 사용하여 30℃에서 0.38 ml/min의 유속으로 분리했다.
크로마토그래피는 물과 수산화나트륨 수용액(100 mmol/l)의 혼합물(1:99)로 시작하여 10분 동안 처리한 다음, 40분 이내에 수산화나트륨 함량을 60%까지 증가시켜 수행했다.
Spectroscopy
UV/vis spectroscopy
UV/vis 스펙트라는 U-2000 분광기(Colora Messtechnik GmbH, Lorch, Germany)를 사용하여 얻었다.
Mass spectrometry
- 전기분무 이온화(Electrospray ionization, ESI) 스펙트라는 API 4000 Q-Trap (Applied Biosystems, Darmstadt, Germany)을 사용하여 직접 흐름 주입 방식으로 수집했다.
- Spray voltage는 ESI- 모드에서 -4500V, ESI+ 모드에서 5500V로 설정되었다.
- 질소가 커튼 가스(20psi)로 사용되었으며, 디클러스터링 전위는 ESI- 모드에서 -10~-30V, ESI+ 모드에서 30V로 설정했다.
- Mass spectrometer는 양이온 또는 음이온을 모니터링하기 위해 full scan mode로 작동했다.
- [M−H]- 및 [M+H]+ 분자 이온의 특정 생성 이온으로의 단편화는 질소(4×10−5 torr)와 -40 V의 충돌 에너지로 인해 유도되었다.
- HPLC-MS/MS의 경우, Agilent 1100 시리즈 HPLC를 multiple reaction monitoring mode (MRM)로 작동하는 질량 분석기와 연결하여 음이온을 검출했다.
- 150 ms 동안, di-caffeoyl quinides의 검출에는 질량 전이 반응(mass transition reactions) m/z 497→335 및 497→161을 사용했고, feruoyl quinides의 검출에는 m/z 349→193 및 349→175를 사용했다.
- Zero grade air가 분무기 가스(nebulizer gas)(35 psi)와 용매 건조용 turbo gas (400°C)(45 psi)로 사용되었다.
- 개별 퀴나드들을 식별하기 위해 분석 컬럼 (Synergi Fusion-RP, 150 mm×2 mm i.d., 4 μm, Phenomenex, Aschaffenburg, Germany)에서 크로마토그래피를 수행했다.
- 시료(10 μl)를 주입한 후, TFA 수용액(0.05%)과 메탄올의 혼합물(85/5, v/v)로 시작하여 메탄올 함량을 25분 이내에 40%까지, 그리고 15분 이내에 100%까지 증가시키는 gradient를 사용하여 분석을 수행했다.
NMR spectroscopy
1H 및 g-COSY spectroscopy가 Bruker DMX-400 분광기(Bruker, Rheinstetten, Germany)에서 수행되었다.
메탄올-d4, DMSO-d6 또는 CDCl3를 용매로 사용하고, tetramethylsilane (TMS)을 내부 표준으로 사용하여 화학적 이동을 측정했다.
Results and discussion
- 분쇄된 생두와 분쇄된 로스트 커피 원두로 만든 커피의 비교 센서리 분석 결과, 로스팅 하지 않은 커피로 만든 퍼콜레이트 수용액의 맛 프로파일은 떫은맛과 신맛을 나타내며 쓴맛은 전혀 없었던 반면, 로스팅된 커피로 만든 음료는 특유의 복합적이고 매력적인 맛 프로파일을 나타내며 뚜렷한 쓴맛을 나타냄을 인상적으로 입증했다 (데이터 미제시).
- 열에 의해 생성된 이러한 쓴맛 유발 요인을 분자 수준에서 특성화하기 위해, 훈련된 센서리 패널에게 커피의 쓴맛 강도를 0 (감지 불가)에서 5 (강하게 감지 가능)까지의 척도로 평가하도록 요청했다.
- 이를 위해 25 mmol/L 카페인 용액의 쓴맛 강도를 최대 강도 점수인 5.0으로 설정했다.
- 해당 기준 용액의 쓴맛 강도와 비교하여, 커피 음료의 쓴맛은 4.0이라는 높은 점수로 평가되었다.
- 쓴맛을 내는 화합물의 휘발성과 소수성을 먼저 파악하기 위해,
커피 음료(CB)를 SAFE 장치[17]를 사용하여
20℃에서 고진공 증류하여 휘발성 분획과 비휘발성 분획으로 분리하고, 순차적인 용매 추출을 통해
pentane soluble CB-fraction Ⅰ,
ethyl acetate soluble CB-fraction Ⅱ,
chloroform soluble CB-fraction Ⅲ, 그리고
남은 수용액(CB-fraction IV)을 얻었다. - 비휘발성 CB-fraction, 그리고 진공 상태에서 용매를 제거한 후,
CB-fraction Ⅰ-Ⅳ를 "natural" 농도로 물(pH 5.0)에 용해시킨 후,
aqueous volatile CB-fraction과 함께 5점 센서리 척도로 쓴맛 강도를 평가했다. - Table 1에서 제시된 바와 같이,
커피 음료의 쓴맛은 쓴맛 강도 4.0으로 평가된 비휘발성 분획에서만 나타났다. - 음료의 순차적 용매 추출 후,
쓴맛 점수 3.5로 평가된 CB-fraction Ⅱ에서 가장 높은 쓴맛 강도가 검출되었고,
그 다음으로는 CB-fraction Ⅲ에서 0.5 미만의 매우 낮은 쓴맛 강도로 평가되었다. - 이러한 쓴맛 화합물의 분자량을 먼저 파악하기 위해,
CB-fraction Ⅱ를 차단 농도 1 kDa의 멤브레인을 사용하는 울트라필터레이션을 통해 추가로 분리했다. - 고분자량(high-molecular weight, HMW; >1 kDa) fraction과
저분자량 (low-molecular weigh, LMW; <1 kDa) fraction
모두 동결건조 후 "natural" 농도로 재용해했다. - 센서리 분석 결과,
강도 3.5의 쓴맛은 LMW 분획에서는 간신히 감지할 수 있었지만,
HMW 분획에서는 유의미한 쓴맛이 나타나지 않았다 (Table 1). - 이러한 모든 데이터는 커피 음료의 쓴맛이 저분자량, 소수성, 비휘발성 화합물에 의해 발생한다는 것을 분명히 보여준다.
- CB-fraction Ⅱ는 거의 전적으로 LMW 화합물로 구성되었기 때문에(Table 1), 다음의 맛 희석 분석은 맛이 덜하거나 맛이 없는 물질에서 강하게 쓴맛이 나는 커피 화합물을 분류하는 것을 목표로 하는 분획에 초점을 맞추었다.

Activity-guided screening for bitter compounds
- 쓴맛 화합물의 상대적인 맛 영향을 맛 희석 분석[12]을 통해 평가하기 위해,
CB-fraction Ⅱ의 분취량을 RP-HPLC (Fig. 1A)로 분리하고,
유출액을 15개의 분획으로 분리하여 동결 건조하고 물(pH 5.0)을 같은 부피로 첨가했다. - 각 fraction을 물(pH 5.0)로 1:1 비율로 단계적으로 희석하여
훈련된 센서리 패널에게 농도가 증가하는 순서대로 제시했다. - 패널리스트들에게는
맛의 품질을 평가하고
삼각형 테스트에서 검출 식역(detection threshold)를 결정하도록 요청했다. - 이러한 소위 taste dilution (TD)-factor는
물에서의 맛 활성과 관련이 있으므로 [12],
15개의 HPLC fractions는 상대적인 맛 영향(relative taste impact)에 따라 평가되었다 (Fig. 1B). - 256의 높은 TD factor에서 알 수 있듯이,
fractions no. 5, 8, 15번 분획이 가장 높은 bitter taste impact를 가지는 것으로 평가되었으며(Fig. 1B),
그 뒤를 이어 12번 분획 또는 4, 6, 13번 분획이 각각 128 또는 64로 다소 낮은 TD factor를 보였다. - 다른 모든 분획은 맛 영향이 유의미하게 낮은 것으로 평가되었다.
- 따라서, 다음의 식별 실험은 HPLC fraction no. 4~6, 8, 12, 13, 15번의 쓴맛 화합물에 초점을 맞추었다.
Identification of bitter compounds in fractions no. 4–8
- HPLC no. fractions 4~8에서 강렬한 쓴맛을 유발하는 화합물의 구조를 먼저 파악하기 위해,
polyamide column chromatography를 이용하여
CB-fraction Ⅱ에서 이 화합물들을 분취 규모(preparative scale)로 분리했다. - Crude fraction을 넣고
컬럼을 물로 헹군 후, bitter-tasting fraction을 메탄올로 용출했다. - 이 쓴맛 분리물(bitter isolate)을
RP-HPLC로 분석하고
HPLC-TDA로 얻은 크로마토그램과 비교했다. - 분리물의 크로마토그램은
HPLC-TDA로 검출된 fractions no. 4~8의 쓴맛 화합물(Fig. a)에 해당하는
peaks no. 1~5를 나타냈다 (Fig. 2A). - 이 화합물들의 UV-vis 스펙트럼은
caffeoylquinic acid 유도체에서 예상했던 대로 235, 300, 324 nm에서 흡광 최대값을 나타냈다. - 또한, LC-MS 분석 결과,
이들 화합물 각각에서 m/z 337의 강한 [M+1]+ 이온이 검출되었으며,
이는 caffeoylquinic acid derivatives에 물 분자가 하나 결여되어 있음을 시사한다. - Preparative HPLC 분석 결과,
1H 및 homonuclear 2D-NMR spectroscopy (COSY)에 적합한 양의
peaks no. 3번과 5번 (Fig. 2A)이 검출되었다. - 이러한 분리체에 대해 얻은 NMR 데이터를
기존 문헌[21]에서 보고된 데이터와 비교한 결과,
peaks no. 2번과 5번 (Fig. 2A) 또는 HPLC/TDA fractions 5번과 8번 (Fig. 1)의 쓴맛 물질(bitter tastants)이
3-O-caffeoyl- and 4-O-caffeoyl-γ-quinide (2a 및 3a, Fig. 3)임을 명확히 확인했다. - 피크 1, 3, 4(Fig. 2A)에서 분리된 쓴맛 물질의 양과 순도가 너무 낮아 구조 확인을 할 수 없었기 때문에,
다음 실험에서는 5-O-caffeoylquinic acid를 열처리하여 더 많은 양을 얻는 것을 목표로 했다. - 이를 위해 5 -chlorogenic acid를 220℃에서 18분간 건열 처리하고, 식힌 후 갈색 물질을 물에 용해했다.
- 강렬한 쓴맛을 나타내는 이 용액을 ethyl acetate로 추출하고,
유기 추출물을 위에서 설명한 폴리아미드 크로마토그래피로 분리한 다음,
메탄올 분리물을 RP-HPLC로 분석했다. - 로스팅된 5-caffeoylquinic acid (Fig. 2B)로부터 얻은 화합물과
커피 분리물의 크로마토그램(Fig. 2A)을
HPLC-DAD, HPLCMS/MS 및 센서리 분석을 통해 비교한 결과,
두 추출물 모두에서 맛 성분의 동일성을 확인했으며, 개별 성분의 농도 비율만 유의미하게 달랐다. - 따라서 HPLC fraction no. 4-8의 모든 쓴맛 성분은 O-caffeoylquinic acids의 로스팅 산물이라고 결론지었다.
- 피크 3에서 분리된 caffeoyl quinide의 1H- 및 COSY NMR 스펙트럼(Fig. 2B)은
메틴 양성자(methine protons) H-C(3) 및 H-C(5)와 5.07 ppm에서
공명하는 양성자 사이에 강한 결합을 나타냈다. - 이 양성자는 H-C(3) 및 H-C(5)와만 동핵 결합(homonuclear coupling)을 보일 수 있고,
H-C(2) 및 H-C(6)과는 각각 동핵 결합을 보이지 않기 때문에, H-C(4)로 지정될 수 있다. - H-C(3)의 양성자는 H-C(2) 및 H-C(4) 양성자와 결합하는 반면,
H-C(5)는 메틸렌基(methylene group) H-C(6) 및 H-C(4)의 메틴 양성자와 연결되어 있다. - 락톤의 α 위치에 있는 메틴 양성자와 OH기, C(4)의 에스터基(ester group)를 비교했을 때,
더 큰 하장 이동(downfield shift)이 나타났다. - 결과적으로, 탄소 원자 C(4)는 caffeic acid moiety에 연결되어 있어야 한다.
- 메틴 양성자 H–C(3), H–C(4), 그리고 H–C(5)의 작은 결합 상수는
모든 양성자가 적도 위치에 있음을 나타낸다. - 이러한 데이터를 바탕으로,
피크 3번(그림 2)과 HPLC/TDA 분획 6(그림 1)의 쓴맛 화합물은
이전에 보고되지 않은 4-O-caffeoyl-muco-γ-quinide (5a, Fig. 3)로 확인되었다. - 로스팅된 5-caffeoyl-quinic acid에서 분리된 peak no. 1의 1H NMR 스펙트럼은
메틴 양성자의 결합 패턴을 나타냈으며,
이는 4-O-caffeoyl-muco-γ-quinide (5a)에서 관찰된 것과 동일했다. - 5a와의 주요 차이점은
메틴 양성자 H–C(3), H–C(4) 및 H–C(5)에 대해 검출된 chemical shift(화학적 이동)의 순서였다. - 5a의 H–C(4)는 caffeic acid와의 연결로 인해 가장 큰 하장 이동(downfield shift)을 보였고,
H–C(5)의 메틴 양성자는 carbocyclus에 있는 세 메틴 양성자 중 가장 작은 하장 이동을 보였다. - 피크 1번에서 분리된 화합물의 NMR 스펙트럼은
5.13 ppm에서 5.3Hz와 1.3Hz의 결합 상수(coupling constants)를 갖는 H-C(5)의 양성자 신호를 나타낸 반면,
양성자 H-C(4)는 3.95 ppm에서 공명(resonance)을 보였다. - C(3)에 연결된 양성자는
두 분자 모두에서 유의미한 이동을 보이지 않았으므로,
퀴나이드의 C(5)에 있는 히드록시기에 카페산이 결합되어 있다는 것이 해당 분자의 구조에 대한 가설로 제시되었다. - 이러한 모든 데이터를 고려할 때,
peak no. 1 (Fig. 2)과 HPLC/TDA fraction 4 (Fig. 1)의 쓴맛 물질은
이전에 보고되지 않은 5-O-caffeoyl-muco-γ-quinide (6a; Fig. 3)로 식별되었다. - 또한, 피크 4(그림 2)와 HPLC/TDA fraction 7 (Fig. 1)으로부터 분리된 화합물의 분광 분석을 통해
5-O-caffeoyl-epi-δ-quinide (4a; Fig. 3)로 식별되었다. - 5-O-caffeoyl-quinide는
이미 문헌[9]에 보고된 바 있었지만,
본고에서 확인된 5-O-caffeoyl-epi-δ-quinide의 입체화학(stereochemistry)은 이전에 설명된 것과 다르다. - 요약하면, HPLC/TDA를 통해
fractions no. 4~8에서 확인된 쓴맛 화합물들(Fig. 1)은
⇒ fraction 4의 5-O-caffeoylmuco-γ-quinide (6a),
⇒ fraction 5의 3-O-caffeoyl-γ-quinide (2a),
⇒ fraction 6의 4-O-caffeoyl-muco-γ-quinide (5a),
⇒ fraction 7의 5-O-caffeoyl-epi-δ-quinide (4a), 그리고
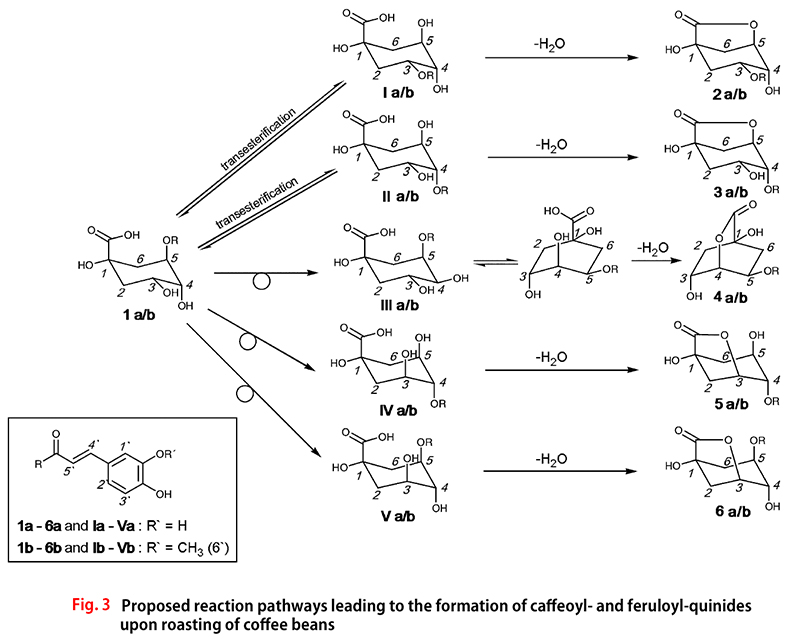
⇒ fraction 8의 4-O-caffeoyl-γ-quinide (3a)이다. - 이러한 모든 결과를 고려할 때, 커피 로스팅 시 O-caffeoylquinic acids는
⇒ Fig. 3에 제시된 화학 경로를 따라
⇒ 5가지 모노 락톤들(mono lactones)로 전환된다는 결론을 내릴 수 있다. - 최근 보고된 바와 같이 [22],
5-O-caffeoylquinic acid (Ia)는
caffeoyl moiety의 트랜스에스테르화 반응(transesterification)에 의해
이성질체 3-O-caffeoyl- (Ia) 및 4-O-caffeoyl-quinic acid (Ⅱa)으로 전환된다. - 이러한 isomers의 C(5)에 있는 히드록실基(hydroxyl group)의 축 방향 배향(axial orientation)은
빠른 락톤化(lactonization)를 촉진하여, 3-Ocaffeoyl- (2a) 및 4-O-caffeoyl-γ-quinide (3a)를 생성한다. - C(4)와 C(3)의 히드록실基의 에피머化는 각각 1a를
5-O-caffeoyl-epi-quinic acid (Ⅲa)와
5-O-caffeoyl-muco-quinic acid (Ⅴa)로 전환시켜,
락톤化 반응 중에
5-O-caffeoyl-epi-δ-quinide (4a)와
5-O-caffeoylmuco-γ-quinide (6a)를 생성한다 (Fig. 3). - 마지막으로,
5-O-caffeoyl-muco-quinic acid (Ⅴa)의 HO-C(5)에서 HO-C(4)로
caffeoyl moiety를 트랜스에스테르化(transesterification)시켜
4-O-caffeoyl-muco-quinic acid (Ⅳa)와
4-O-caffeoyl-muco-γ-quinide (5a)의 형성을 초래한다. - 커피 원두에 존재하는 3-O-caffeoyl- and 4-O-caffeoyl-quinic acid와
이들의 simple lactonization과 잘 일치하여,
해당 3-O-caffeoyl- and 4-O-caffeoyl-γ-quinide는
다른 이성질체들에 비해 로스트 커피 음료에서 우세하다 (Fig. 2A). - 반대로, 로스트 커피 내에서 다른 퀴나이드들의 함량이 더 낮은 것은
5-O-caffeoyl quinic acid이 락톤화 반응 전에 C(3) 또는 C(4)에서 먼저 에피머化되어야 하기 때문이라는
사실로 간단히 설명할 수 있다.
Identification of bitter compounds in fraction no. 12 and 13
- HPLC fraction no.12와 13 (Fig. 1)에서 검출된 맛 화합물에 UV-vis 및 LC-MS spectroscopy를 적용한 결과,
페룰산 유도체들(ferulic acid derivatives)과
m/z 351의 [M+H]+ 이온에서 예상되는 전형적인 흡수 스펙트럼들이 나타났으며,
이는 feruoyl quinides의 존재를 가리킨다. - 안타깝게도 두 맛 화합물들 모두 적절한 순도로 분리할 수 없었기 때문에,
NMR 분광법으로 명확한 구조 결정을 내릴 수 없었다. - 따라서 다음 실험은
caffeoyl quinides에서 성공적으로 수행된 것과 유사하게
5-O-feruoylquinic acid를 로스팅하여 이러한 락톤을 생성하는 것을 목표로 했다. - 5-O-feruoylquinic acid는 시중에서 구할 수 없기 때문에, 이 추정 맛 전구체를 합성해야 했다.
- Fig. 4에 요약된 반응 순서에 따라,
5-O-feruoylquinic acid는 이전에 보고된 5-caffeoylquinic acid [18]과 같은 방식으로 약간의 변형을 거쳐 성공적으로 합성되었다. 최종 정제 후, 5-O-feruoylquinic acid를 220℃에서 18분간 로스팅하고, 냉각 후 갈색 물질을 물에 용해시켰다. - 쓴맛이 나는 이 용액을 ethylacetate로 추출하고,
얻어진 추출물을 물을 사용한 polyamide column chromatography로 분리한 후,
메탄올을 용출액으로 사용했다. - 그런 다음 메탄올 분획을 HPLC-DAD 및 LC-MS로 분석했다.
- HPLC 분석 결과,
로스팅된 5-O-caffeoyl-quinic acid (Fig. 2B)에서 관찰된 것과 유사한
5개의 피크 패턴(데이터 미제시)이 나타났으며,
LC-MS 분석 결과 이 5가지 화합물 각각에 대해 m/z 값이 351인
유사분자 이온(pseudomolecular ion)이 확인되었다. - 구조 결정을 위해, 1~5번 피크는 반분취형 RP-HPLC를 이용하여 분리하였다.
- 5가지 화합물 중 1번과 3~5번 피크 네 개를 1H NMR과 COSY spectroscopy로 분석하였다.
- 이 화합물들의 분광 데이터는
추가적인 메틸기(methyl group) 하나를 제외하고,
caffeoyl-quinides에서 얻은 데이터와 거의 동일하였으며,
peak no. 1은 5-O-feruloyl-muco-γ-quinide (6b; Fig. 3),
peak no. 3은 4-O-feruloyl-muco-γ-quinide (5b; Fig. 3),
peak no. 4는 5-O-feruloyl-epi-δ-quinide (4b; Fig. 3), 그리고
peak no. 5는 4-O-feruloyl-γ-quinide (3b; Fig. 3)임을 확인하였다. - 이전 문헌[9]에서 제안된 바 있는 4-O-feruloyl-γ-quinide와는 달리,
4-O-feruloyl-muco-γ-quinide,
5-O-feruloyl-muco-γ-quinide, 그리고
5-O-feruloyl-epi-δ-quinide의 구조는 이전에는 확인되지 않았다. - 피크 2로 용출된 맛 화합물의 양이 적고 분리체의 불순물이 많아 해당 화합물의 구조 확인은 불가능했다.
- 5개의 5-O-caffeoyl-quinides (2a–6a)와 4개의 5-O-feruoyl-quinides (3b–6b)를 비교한 결과,
3-feruloyl-γ-quinide가 피크 2에서 미지의 화합물로 제시되었다. - 이러한 가정을 확인하기 위해,
3-feruloyl-γ-quinide (2b)는
문헌[19, 20]에 따라 독립적인 합성을 통해 제조되었으며,
Fig. 5에 요약된 바와 같이 약간의 수정이 가해졌다. - 합성된 생성물의 분광학적 데이터는
해당 락톤에 대해 이전에 발표된 데이터[23]와 잘 일치했다. - 해당 화합물의 MS 데이터, UV-vis 데이터 및 retention time을
볶은 5-O-feruoyl-quinic acid 혼합물의 피크 2에서 분리한 데이터와 비교한 결과,
쓴맛 화합물의 구조가 3-feruloyl-γ-quinide (2b, Fig. 5)임이 명확히 확인되었다. - HPLC/TDA로 검출된 bitter fractions no. 12번과 13번 (Fig. 1)에 존재하는
5-O-feruoyl-quinide isomers를 조사하기 위해,
multiple reaction monitoring (MRM) 모드로 작동하는
LC-MS/MS(ESI-)를 이용하여 이들 분획에서 락톤들을 스크리닝했다. - 이를 위해 HPLC 유출액에서
특징적인 전이 반응(transition reactions) m/z 349→193 및 349→175를 나타내는 화합물들을 모니터링했으며,
이는 개별 레퍼런스 화합물들을 사용하여 튜닝 실행(tuning runs)을 통해 선별되었다. - 커피에서 검출된 다섯 가지 caffeoyl quinide isomers와는 달리,
HPLC fraction no. 12 (Fig. 1)에서
3-O-feruloyl-γ-quinide (2b)와
HPLC fraction no. 13 (Fig. 1)에서 용출된
4-O-feruloyl-γ-quinide (3b) 만이
로스트 커피 음료에서 retention times (RP-HPLC)와 LC-MS/MS mass transitions (질량 전이)를 비교하여 명확하게 식별할 수 있었다.
Characterization of the bitter-tasting fraction no. 15
- HPLC fractions no. 4~8, 12, 13 외에도, CB-fraction Ⅱ의 HPLC-TDA 분석 결과
복잡한 fraction no. 15에서도 256의 높은 TD factor가 나타났다 (Fig. 1). - 그 fraction에서 용출되는 화학물질에 대한 첫 번째 정보를 얻기 위해,
메탄올/물 혼합물을 유출액으로 사용하여
RP-18 컬럼 크로마토그래피를 통해 CB-fraction Ⅱ를 분취 규모로 분리했다. - 분획은 HPLC로 분석하고, fraction 15에서 용출되는 화합물을 포함하는 분획은 합쳤다.
- 그러나 사용된 고정상(stationary phase)이나 용매 시스템과는 별개로, fraction 15에 포함된 화합물의 복잡성을 더욱 명확히 규명하고 개별 화합물을 충분한 순도로 분리하려는 모든 시도는 실패했다.
- 따라서 UV-vis 및 COSY-NMR 분광법을 이용한 추가 분리 없이 분리된 fraction 15를 전체적으로 분석했다.
- 이 fraction의 COSY 스펙트럼(데이터 미제시)은
양성자 H–C(3) 또는 H–C(5)와 메틸렌基 H–C(2) 또는 H–C(6) 사이에 강한 결합 상수를 갖는
quinic acid derivatives의 6원자 탄소고리(six-membered carbocyclic ring)에서
이전에 검출된 전형적인 공명 신호를 나타냈지만, H–C(4)는 H–C(3) 또는 H–C(5)와만 결합을 보였다. - 메틴 양성자(methine protons) H-(3), H–C(4) 및 H–C(5)는
각각 5 ppm 이상에서 화학적 이동을 나타내어,
하나의 하이드록실기의 락톤化와 나머지 두 하이드록실기의 에스테르化를 나타낸다. - 6.2 ppm에서 7.8 ppm 사이의 NMR 스펙트럼 발췌 부분은
hydroxycinnamic acid derivatives에서 관찰된 전형적인 신호 패턴을 나타냈다. - 이러한 데이터는
hydroxycinnamic acid derivatives에서 예상되는 전형적인 흡수 스펙트럼을 보여주는 UV-vis 스펙트럼과 잘 일치한다. - 이를 통해 우리는 fraction no. 15에서 관찰된 복잡성이
caffeic acid나 ferulic acid와 같은 최소 두 개의 hydroxycinnamic acids 또는
추가의 quinic acid 분자로 에스테르化된
다수의 quinic acid lactone isomers에 기인한다는 가정을 하게 되었다. - 가설을 더욱 확증하기 위해, 다음 실험들은
fraction no. 15의 복합 미각 물질에 존재하는 에스테르(ester)와 락톤 결합(lactone bonds)을
조심스럽게 가수분해하고, 생성된 가수분해 생성물을 연구하는 것을 목표로 했다. - 이를 위해, fraction no. 15의 수용액을
NaOH로 pH 10으로 조정한 후, 20℃에서 60분 동안 교반하거나,
pH 13으로 조정한 후 60℃에서 60분 동안 교반했다. - pH 5.0으로 산성화한 후, 가수분해물을 HPLC로 분석했다.
- Fig. 6에서 볼 수 있듯이, fraction no. 15 (대조군)의 HPLC 분석 결과,
거의 분리되지 않는 화합물들이 복합적으로 존재하는 것으로 나타났지만 (Fig. 6A),
pH 10의 약알칼리 조건에서 가수분해된 샘플에서는 잘 분리된 몇 가지 화합물이 확인되었다 (Fig. 6B). - Retention times, UV-vis, LC-MS 데이터를 레퍼런스 화합물들과 비교한 결과,
3-O-caffeoyl-,
4-O-caffeoyl-, and
5-O-caffeoylquinic acid,
p-coumaric acid,
ferulic acid,
5-O-feruoyl-quinic acid , 그리고
3,4-, 3,5- and 4,5-O-dicaffeoyl-quinic acids로 확인되었다. - 이와 대조적으로, fraction no. 15를 pH 13, 고온에서 배양한 후
수행한 HPLC-DAD 분석에서는 네 가지 화합물만 검출되었다 (Fig. 6C). - HPLC-DAD와 HPLC-MS를 이용하여 이들 화합물을 분석하고, 얻어진 데이터를
레퍼런스 화합물들에서 측정된 데이터와 비교한 결과,
이들 피크가
⇒ caffeic acid (peak 1),
⇒ p-coumaric acid (peak 2),
⇒ ferulic acid (peak 3), 그리고
⇒ 3,4-dimethoxycinnamic acid (peak 4)임을 명확히 확인했다 (Fig. 6C). - 이러한 cinnamic acids 외에도,
전도도 검출기를 갖춘 high performance ion chromatography (HPIC)를 이용하여,
알칼리 가수분해물에서 quinic acid가 주요 non-phenolic organic acid으로 검출되었다. - 두 가수분해 실험에서 얻은 데이터를 비교한 결과,
약알칼리 조건(pH 10, 20℃)에서는 lactones만이 가수분해된 것으로 보이는데,
이는 온전한 에스터 결합(intact ester bond)을 그대로 유지하는
유리 신남산 유도체(free cinnamic acid derivatives)의 농도가
다양한 cinnamoyl quinic acids에 비해 상당히 낮기 때문이다. - 더욱 강한 알칼리 처리(pH 13, 60℃)는
에스테르 연결들(ester linkages)의 가수분해를 유도하여 quinic acid와 free cinnamic acids를 생성했다. - COSY 실험 데이터와 알칼리 가수분해 결과를 고려할 때,
쓴맛나는 fraction no.15에는
⇒ p-coumaric acid,
⇒ caffeic acid, ferulic acid,
⇒ 3,4-dimethoxycinnamic acid, 그리고
⇒ quinic acid으로 다중 에스테르화된(multiply esterified)
여러 quinic acid lactone isomers가 포함되어 있다고 결론지을 수 있다. - 특히, 알칼리 가수분해(alkaline hydrolysis) 과정에서 방출된
caffeic acid, caffeoylquinic acids, 그리고 dicaffeoylquinic acids의 높은 함량은
di-caffeoylquinic acid lactones가 HPLC fraction 15에서 용출되는 쓴맛 화합물 생성에
관여할 수 있음을 시사한다. - 이 가정을 더욱 뒷받침하기 위해,
먼저 커피 생두에서
3,4-O-dicaffeoyl-, 3,5-O-dicaffeoyl-, and 4,5-O-dicaffeoyl-quinic acids를 각각 분리했다. - 그 분리물질들의 NMR 분광 데이터는 기존 보고[24]의 데이터와 일치하여,
이들 dicaffeoylquinic acid isomers의 화학 구조를 확인했다. - 분리된 개별 dicaffeoylquinic acids을
각각 실험실 오븐에서 따로 로스팅하고, 로스팅 결과물을 물에 용해한 후 센서리 평가를 실시했다. - 훈련된 센서리 패널이 강렬한 커피와 유사한 쓴맛을 감지했는데,
이는 dicaffeoylquinic acids가 커피의 잠재적인 쓴맛 전구체(bitter taste precursors)임을 시사한다. - 열처리된 세 가지 dicaffeoyl-quinic acid isomers로부터 추출한 추출물의
HPLC/DAD 분석 및 HPLC 시음 결과 (Fig. 7A-C)는
개별 isomers (피크 1, 2)의 변형이 일어났고,
추가적인 로스팅 화합물 (피크 3-5)이 생성되었음을 명확히 보여주었다. - 예를 들어, 로스팅된 3,4-O-dicaffeoyl-quinic acid의 크로마토그램은
스타팅 화합물 외에도 에스테르 교환 반응(transesterifaction)으로 생성된
공동 용출 이성질체인 3,5-Odicaffeoylquinic acid (피크 1)와 4,5-O-dicaffeoylquinic acid (피크 2)을
보여주었으며, 피크 3-5에서 쓴맛이 나타난 네 가지 추가 화합물들(Fig. 7A)도 나타났다. - 흥미롭게도, 3,5-O-dicaffeoyl-quinic acid와 4,5-O-dicaffeoyl-quinic acid을 로스팅했을 때,
해당 이성질체의 에스테르 교환 반응(transesterifaction)과 동일한 쓴맛 화합물의 생성이 유도되었지만,
수율에는 상당한 차이가 있었다 (Fig. 7B 및 C). - RP-18 clean-up (정제법)을 이용하여 피크 3~5로 용출되는 로스팅 생성물을 분리한 후 LC-MS로 분석했다.
- MS 분석 결과,
분리된 각 화합물들에서 m/z 499의 준분자 이온(quasimolecular ion)이 확인되었으며,
이는 로스팅 과정에서 dicaffeoyl-quinic acids의 quinic acid moiety의 락톤화가 발생했음을 시사한다. - 이 가정을 확인하기 위해,
분리된 세 가지 화합물을 1H-NMR 및 COSY-NMR 실험을 통해 분석했다. - 세 화합물 모두 6.16~7.67 ppm 범위에서 이중 신호가 관찰되어
각 분자에 카페산 잔류물이 두 개씩 존재함을 확인했다. - 3,4-dicaffeoyl-quinic acid를 로스팅하여 생성된
주요 생성물(Fig. 7A; peak no. 3)은
3-O-caffeoyl- and 4-O-caffeoyl-quinides에서 관찰된 것과 거의 동일한 메틴 양성자(methine protons) H-C(3), H-C(4), H-C(5)의 커플링 패턴을 보였다. - 모든 NMR 데이터와 결합 상수(coupling constants)를 신중하게 검토하고
기존 문헌[19]에 보고된 것과 비교한 결과,
로스팅된 화합물 3번은 3,4-O-dicaffeoyl-quinide (10; Fig. 8)로 확인되었다. - 이 화합물은 인간 아데노신 수송체(human adenosine transporter)를 억제할 수 있는 커피 성분으로
이전에 보고되었지만[19, 22],
쓴맛 내는 분자(bitter-tasting molecule)로서의 sensory activity와 그 형성은 아직 입증되지 않았다. - 남은 쓴맛 로스트 산물 no. 4번과 5번은
로스팅된 3,5-O-caffeoyl-quinic acid와 4,5-O-dicaffeoyl-quinic acid로부터
성공적으로 분리되었다 (Fig. 7B 및 C). - 피크 5의 1H NMR 스펙트럼(Fig. 7A-C)은 5-caffeoyl-epi-δ-quinide의 NMR 데이터와 비교하여
양성자 H-C(3)의 유의미한 deep field shift 만을 나타냈다. - 이 효과는 3번 위치의 하이드록시基(hydroxy group)가 다른 분자 caffeic acid와 에스테르化 반응한 것으로 설명될 수 있다.
- H-C(4)와 H-C(5) 위치의 양성자는 거의 영향을 받지 않았다.
- 모든 분광 데이터를 고려할 때, 피크 5는
이전에 보고되지 않았던 3,5-O-dicaffeoyl-epi-δ-quinide (11; Fig. 8)로 식별될 수 있다. - 피크 4(그림 7A-C)의 메틴 프로톤 H–C(3), H–C(4) 및 H–C(5)의
1H 커플링 패턴은 4-O-caffeoyl- and 5-O-caffeoyl-muco-γ-quinide대해 얻은 데이터와 동일했다. - 1H NMR과 COSY spectroscopy로 관찰된 모든 화학적 이동(chemical shifts)과 coupling constants를
신중하게 고려할 때,
피크 4(Fig. 7)에서 용출되는 화합물은
4,5-O-dicaffeoyl-muco-γ-quinide (12; Fig. 8)로 식별될 수 있다.
우리가 아는 한, bitter quinides 11과 12는 이전에 보고된 적이 없다. - 이 세 가지 dicaffeoyl-quinides가
HPLC fraction no. 15의 구성 성분으로 존재하는지 확인하기 위해,
multiple reaction monitoring (MRM) 모드로 작동하는 LCMS/MS(ESI-)를 통해
이 락톤들을 스크리닝했다. - 분석 전 개별 락톤들을 이용한 튜닝 실험에서
선별된 특징적인 전이 반응 m/z 497→335 및 497→161을 나타내는 화합물에 대한 HPLC 유출액을
모니터링한 결과,
그 커피 음료에서 분리된 HPLC fraction no. 15의 구성 성분인
세 가지 dicaffeoyl quinides 10-12를 명확하게 확인할 수 있었다. - 우리가 아는 한, 이러한 화합물은 아직 로스팅된 커피의 쓴맛에 기여하는 것으로 보고된 바 없다.
- 로스팅 실험에서 얻은 관찰 결과에 따르면, Fig. 8에 나타낸 바와 같이
커피 로스팅 시 개별 dicaffeoyl-quinides가 형성될 수 있다. - 열처리 중에, 그 개별 dicaffeoyl-quinides는 트랜스에스테르화 반응으로 서로 변환된다.
- 물 분자 하나가 절단되어 isomer 7이 락톤화되면
3,4-O-dicaffeoyl-γ-quinide (10)가 생성된다. - Isomer 3,5-O-dicaffeoyl- (8)과 4,5-O-dicaffeoyl-quinic acid (9)의
탄소 원자 C(4)와 C(3)에서 각각 에피머화가 이뤄지면
락톤화 반응 중에
3,5-O-dicaffeoyl-epi-δ-quinide (11)와
4,5-Odi-caffeoyl-muco-γ-quinide (12)의 형성이 촉진된다. - 5-caffeoylquinic acids 및 lactones를 이용한 추가 열 모델 반응에 대한 LC-MS/MS 연구 결과(데이터 미제시)를 바탕으로, caffeoyl moiety의 분자간 트랜스에스테르化 반응을 통해,
3-O-caffeoyl- (2a) and 4-O-caffeoyl-γ-quinide (3a)가 → 3,4-O-dicaffeoyl-γ-quinide (10)로,
5-O-caffeoyl-epi-δ-quinide (4a)가 → 3,5-O-di-caffeoyl-epi-δ-quinide (11)로, 그리고
4-O-caffeoyl- (5a) 뿐만 아니라 5-O-caffeoyl-muco-γ-quinide (6a)가 → 4,5-O-dicaffeoyl-muco-γ-quinide (12)로 전환되는 것이 관찰되었다. - 동일한 반응 원리에 따라, caffeic acid 이외의
다른 산(예: p-coumaric acid, ferulic acid, 3,4-dimethoxycinnamic acid, and quinic acid)에서도
유사한 트랜스에스테르화 반응이 발생하는 것으로 보인다. - 이는 key bitter-tasting coffee fraction no. 15번에
존재하는 분해되지 않은 화합물의 복잡성을 반영한다.
Bitter recognition threshold concentrations
- 센서리 분석에 앞서 모든 화합물의 순도는 HPLC-MS와 1H NMR spectroscopy로 확인했다.
- 쓴맛에 대한 인체 역치 농도(human threshold concentrations for bitter taste)를 결정하기 위해,
표적 화합물의 수용액(pH 5.0)을 triangle test [16]로 평가했다 (Table 2). - 이들 모든 락톤들은 인체 식역치 농도 범위가 29~180 μmol/l로 커피와 유사한 전형적인 쓴맛을 나타냈다.
- 센서리 패널은 이 quinides의 독특한 맛 프로필이 카페인이나 퀴닌(quinine)과 같은 다른 알려진 쓴맛 기준 화합물의 맛과 매우 다르다고 설명했다.
- 또한, 이 화합물들은 수렴제 같은(astringent-like) 입안 코팅 감각(mouthcoating sensation)을 부여하는 것으로 나타났다.

- Table 2에 요약된 센서리 데이터는 화학 구조와 관계없이
caffeoyl-γ-quinides 2a, 3a, 5a, 6a의 쓴맛 역치 농도가 비교적 유사했으며,
5-O-caffeoylmuco-γ-quinide의 경우 가장 낮은 역치인 29 μmol/l를 나타냈다. - 반대로, 6원환 락톤(six-membered ring lactone)인
5-O-caffeoyl-epi-δ-quinide는
5-O-caffeoyl-muco-γ-quinide와 같은 5원환 락톤에 비해 6배 더 높은 역치 농도를 나타냈다 (Table 2). - caffeoyl-γ-quinides에 비해,
해당 3-feruoyl- (2b) and 4-feruloyl-γ-quinides (3b)는 39 μmol/l로 다소 높은 쓴맛 검출 역치를 나타냈다. - 3,4-O-dicaffeoyl-γ-quinide 및 4,5-O-dicaffeoyl-muco-γ-quinide의 쓴맛 역치(9.8 μmol/l)가
단연 가장 낮게 측정되었다. - 모노 퀴나드(mono quinides)에서 발견된 데이터와 일치하게,
6원 락톤(six-membered lactone) 3,5-O-dicaffeoyl-epi-δ-quinide는
다른 이성질체에 비해 5배 더 높은 검출 역치를 보였다 (Table 2). - 이는 락톤 고리의 크기(size of the lactone ring)가 이들 퀴나드들의 쓴맛 활성에 중요한 기준 중 하나임을 시사한다.
- 리터당 밀리그램(milligrams per liter) 단위로 역치 농도를 계산한 결과,
3,4-O-dicaffeoyl-γ-quinide와
4,5-Odicaffeoyl-muco-γ-quinide의 역치(4.8 mg/l)는
complex HPLC fraction no.15에서 발견된 역치와 동일한 범위에 속함을 보여주었고,
bitter threshold concentration은 6.3mg/l로 측정되었다. - 이 결과는 이러한 complex quinides가
해당 커피 분획의 쓴맛에 중요한 기여를 하는 물질임을 더욱 강화한다. - 요약하면, 얻어진 데이터는
caffeoyl- and feruloyl-quinides, 그리고 quinides와 cinnamoyl derivatives 사이의
더욱 복잡한 에스테르가 로스팅된 커피에서 가장 강렬한 쓴맛을 내는 화합물임을 보여준다. - 로스팅된 커피 음료의 쓴맛에 대한 이 화합물들의 기여도를 입증하기 위해,
이 화합물들을 “natural” 농도로 사용하는 정량 연구, taste reconstruction and omission experiments (테이스트 재구성 및 생략 실험)이 현재 진행 중이며 다른 곳에 발표될 예정이다.
References
1. Semmelroch P, Grosch W (1995) Lebensm Wiss Technol 28:310–313
2. Semmelroch P, Grosch W (1996) J Agric Food Chem 44:537–543
3. Mayer F, Czerny M, Grosch W (2000) Eur Food Res Technol 211:272–276
4. Chen WC (1979) Doctoral Thesis, University of Munich
5. Shibamoto T, Harada K, Mihara J, Nishimura K, Yamaguchi A, Aitoku A, Fukada T (1981)
In: Charambous G, Inglett G (eds) The quality of foods and beverages, Vol 2,
Academic Press, New York, p. 311
6. Belitz HD (1975) Flavor-active substances in coffee.
ASIC, 7th Colloquium, Hamburg, ASIC Bremen 1977, pp 243–252
7. Ginz M, Engelhardt UH (2001) Eur Food Res Technol 213:8–13
8. Rizzi GP, Boekley LJ, Ekanayake A (2004) In: Shahidi F, Weerasinghe DK (eds)
Nutraceutical beverages—chemistry, nutrition, and health effects,
ACS Symposium Series 871, Washington, DC, pp 229–236
9. Ginz M, Engelhardt UH (2001)
Analysis of bitter fractions of roasted coffee by LC-ESI-MS—new chlorogenic acid derivatives,
Proceedings to the ASIC symposium, 2001, Trieste, Italy
10. Maga JA (1978) CRC Crit Rev Food Sci Nutr 10:323–372
11. McCamey DA, Thorpe TM, McCarthy JP (1990)
In: Rouseff RL (ed) Bitterness in foods and beverages, Elsevier, London, pp 169–182
12. Frank O, Hofmann T (2001) J Agric Food Chem 49:231–238
13. Ottinger H, Bareth A, Hofmann T (2001) J Agric Food Chem 49:1336–1344
14. Czepa A, Hofmann T (2003) J Agric Food Chem 51:3865–3873
15. Ottinger H, Hofmann T (2003) J Agric Food Chem 51:6791–6796
16. Scharbert S, Holzmann N, Hofmann T (2004) J Agric Food Chem 52:3498–3508
17. Engel W, Bahr W, Schieberle P (1999) Eur Food Res Technol 209:237–241
18. Sefkow M (2001) Eur J Org Chem 1137–141
19. de Paulis T, Lovinger DM, Martin P (2004) US Patent; US 6,693,128 B2
20. Huynh-Ba T (1995) United States Patent; Patent No.: US 5,401,858
21. Bennat C, Engelhardt UH, Kiehne A, Wirries FM, Maier HG (1994) Z Lebensm Unters Forsch 199:17–21
22. Farah A, DePaulis T, Trugo LC, Martin PR (2005) J Agric Food Chem 55:1505–1513
23. Wynne KN, Familari M, Boublick JH, Drummer OH, Rae ID, Funder JW (1987)
Clin Exp Pharmacol Physiol 4:785–790
24. Morishita H, Iwahashi H, Osaka N, Kido R (1984) J Chromatogr 315:253–260













'Coffee Chemistry' 카테고리의 다른 글
| 커피 플레이버 화학의 수정 (4) | 2025.05.04 |
|---|---|
| 커피의 쓴맛물질 4-비닐카테콜 올리고머 (Bitter-Tasting 4-Vinylcatechol Oligomers in Roasted Coffee) (3) | 2025.05.02 |
| 커피의 쓴맛 성분 : 클로로겐산 락톤 (4) | 2025.04.25 |
| 커피 로스팅 화학 (0) | 2025.04.15 |
| 커피 다당류 및 기타 탄수화물 (2019) (0) | 2025.04.01 |
댓글