본문 바로가기
Coffee Roasting

커피 로스팅 프로세스와 로스팅 테크닉

by mjcafe 2025. 4. 11.

 

 

   4.1  THE PROCESS "Roasting"

 

  • 커피 로스팅을 처음 보면 ➡ 잘 알려진 그리고 간단한 과정으로 보인다. 
  • 커피 로스팅은 ➡ 단순히 raw coffee beans에 대한 열의 적용(application of heat)이다. 
  • 중요한 것은 ⇒ 올바른 순간에 정확한 온도들을 생성하고 컨트롤하는 것이며
                      ⇒ 따라서 아로마가 충분히 발달되고 
                      ⇒ 커피 색상이 커피 콩 전체에 걸쳐 동질적일 때 그 프로세스를 멈추는 것이다. 
  • 그러나, 좀 더 자세히 살펴보면, 아직 답을 받지 못한 문제들이 제기된다.
       ⇒ 정지되지 않는(instationary) 즉 시간에 따라 변하는(changing with time)
            커피 콩에서의 온도 분포의 
            로스팅 프로세스의 파라미터들(배전가스 온도, 유체 흐름 조건, 커피 콩의 재질적 특질들과 같은)에
            대한 의존성이다.
  • 그 전체 프로세스를 장악하는데 있어서의 어려움은
        ⇒ 그 프로세스에 관계되는 거의 모든 매개변수들의 드라마틱한 변화들로부터 온다.
        ⇒ 온도, 재질적 특성, 콩의 기하학
  • Figure 4.1은 ➡ 로스팅 동안 커피 콩에서의 온도 분포의 의미를 보여준다. 

 

 

  • 커피 콩은 복합적인 형태의 유한한 기하학적 특성을 가지고 있다 ;
          ⇒ 그 내부 구조는 이질적이다 (heterogeneous). 
          ⇒ 열 진입(heat admission)에 의해서 그 부피(volume)은 부풀고(swell)
                                                                  내부 구조(inner structure)가 변화한다. 
  • 수학적으로, 온도는 ⇒ 알려지지 않은 이동 경계들(moving boundaries)을 가진, 
                                      비안정적 상태 특성(non-steady-state character)의 3차원 함수가 된다. 
  • 화공학적 관점에서 볼 때, 로스팅 프로세스는
            ⇒ 吸熱反應과 發熱反應에 의해 겹쳐지는(superposed)
                결합된 熱과 質量 이동(combined heat and mass transport)이다. 
  • 따라서, 콩에 대한 열의 적용은
          ⇒  온도 분야에서 뿐만 아니라
          ⇒  시간과 위치에 따라
                내부 압력(inner pressure)과
                수분의 재분포(re-distribution of moisture)를 유발한다. 

 

 

 

  • 이 효과는 Figure 4.2에 예시되어 있다. 
          ⇒ 열에너지는 로스터 유형에 따라
                                주로 외부의 뜨거운 기류(hot gas flow)에 의해서
                                추가적인 복사열 이동전도열 이동으로
                                생두 통콩의 표면으로 들어간다.
  • 콩 표면의 온도
        ⇒  다공질 재료로의 열전도와 함께
        ⇒  온도 변화도 (temperature gradient) 때문에 증가한다.
  • 그 부분의 온도가 콩 수분의 기화 온도(evaporation temperature)에 도달하게 되면, 
        ⇒ 앞쪽의 증발은 그 콩의 중심부로 이동하기 시작한다.
        ⇒ 로스팅의 이러한 첫 부분 동안에, 통 콩의 벽들은 여전히 비교적 단단하다(firm).
        ⇒ 따라서 생성되어진 증기는 스며들 수 없다(침투할 수 없다, can not permeate).
            그리고 압력이 형성되어 콩 부피가 확대된다.
  • 흡열 작용이 되는 콩 수분의 기화
        ⇒  콩 내부에서 온도가 올라 갈 때
              둔화된 운동(slowed down kinetic)을 유도하는 잠재적 에너지를 필요로 한다.
  • 팽윤(swelling)건조(drying)
        ⇒ 기화 전선(vaporization front)과 그 콩의 외부 표면 사이에 있는 부분 내에서의
             열전도성의 강한 감소(strong decrease in heat conductivity)를 초래한다. 
  • 결과적으로
        ⇒ 향상된 열 이동 저항성 때문에 (enhanced resistance to heat transfer)
        ⇒ 온도 변화도(temperature gradient)는 그 콩의 그 마른 영역에서 더욱 가파르다. 
        ⇒ 콩의 중심을 향해서 이동하는 기계적 – 온도적 응력이 만들어진다.
             (mechanical and thermal stresses moving toward are created).
        ⇒ 만일 그 놓여진 응력(superposed stresses)이 
             그 콩의 인장력(tensile strength)을 넘어서면
             그 콩을 깨뜨리거나 심지어 터뜨린다(crack or even burst)

  • 로스팅 반응들(증가된 내부 압력에서 플레이버 화합물들의 형성과 갈변화)은
        ⇒ 더 높은 온도에서 시작한다. T > 160 ℃
        ⇒ 콩 표면에서 시작하여 그 콩 내부의 마른 이미 확장된 구조로 이동한다.
        ⇒ 이동하는 잠재 열의 이 두 번째 전선(second front)은 발열적이다(exothermic). 
  • 기체 반응 산물들(gaseous reaction products)
        ⇒ 주로 이산화탄소(carbon dioxide) 기체반응산물들이 생성되고 
        ⇒ 세포 구조들 내에 갇혀진다(entrapped within the cell structure).
        ⇒ 고온에 의해 약해지고 
            부분적으로 파괴된 벽들을 통과하여 스며들 때까지 내부 압력이 증가한다.
  • 그런 다음, 로스팅 프로세스는
        ⇒ 내부로의 열 이동(heat transfer inside)과
             외부로 향하는 질량(덩이, mass outside)를 가진
             역류적 프로세스(a counter-current process)가 된다. 
  • Figure 4.2의 현상적 온도 프로파일이 보여주는 것은!!
        ➡  기화 영역과 로스팅 영역, 이 두 이동하는 영역들 사이의 거리는
              [1] 적용된 로스팅 테크닉에 의해 주어지는, 외부 열 이동(outer heat transfer)에 의존한다!!
              [2] 그 콩의 구조(structure of the bean)에 의존한다. 

 

 

 

Figure 4.3  원산지가 다른  커피들의 부피 확장

  • 콩의 구조에 따라 온도 프로파일이 좌우된다는 것은 ➡ Figure 4.3에 연결된다.
  • 콩의 구조에 따른 온도 변화의 차이가 ⇒ 로스트되는 콩의 지리적 원산지에 연결된다. 
  • 가능한 동질적인 로스팅 프로파일을 얻기 위해서는
             ⇒ 그 콩 전체에 걸쳐 온도 변화도가 작도록
             ⇒ 그 프로세스가 정밀하게 통제되어야 한다.
  • 반대로 빠른 로스팅(fast roasting)은
          ⇒ 기화 단계(evaporation step)와 로스팅 단계(roasting step)의 중첩(overlapping)과
          ⇒ 비동질적인 프로파일(inhomogeneous profile)로 이끌 수 있다.
  • 원하는 배전도에 도달하면, 
          ⇒ 더 이상의 색상 변화, 플레이버 변화, 부피 변화를 중지시키기 위해
          ⇒ 물 끼얹기(water quenching) 또는 찬 공기(cool air)에 의해 
               신속하게 식혀져야 한다(have to be cooled down rapidly). 

  • 로스팅 손실(roasting loss)의 측정
        [1] dry mass loss (무수 질량 손실) = the weight loss based on dry green beans
        [2] the total mass loss (moisture plus organic matter loss).
  • Table 4.1
        ➡ 배전도와 무수질량손실(dry mass loss)의 상응을 보여준다 (Clarke, 1987).
        ➡ 로스팅 동안에, 그 콩들의 밀도는 초기 값의 거의 반 정도까지 감소한다. 

 

 

 

  • 커피 콩의 형태(shape of a coffee bean)는
          ⇒ 타원체(타원구)의 반쪽(half of an ellipsoidal body)으로 정의되어질 수 있다.
  • 로스팅 동안의 커피 콩의 온도 영역(temperature field)를 모델링하고자 하는 시도가 이뤄진 바 있다. 
  • Figure 4.4
          ➡ 흡열적 기화 엔탈피(endothermic vaporization enthalpy) 뿐만 아니라
          ➡ 발열 반응 엔탈피(exothermic reaction enthalpy)의 영향이 나타나 있다.
               (엔탈피 = 물체의 상태에 따라 정해지는 상태량으로 내부의 열에너지 총계.)
  • 비교해보면, latent energy를 고려하지 않은채 온도 증가가 계산되었다.
  • 결과적으로 latent energies가 도입되면
           ⇒ 기화에 의해 유발되는 delayed temperature가 150℃까지 증가하고
           ⇒ 이어서 가속흡열온도(accelerated exothermic temp.)는 180℃ 넘게 증가한다. 

 

 

 

  • Figure 4.5 콩 내부의 실험적 온도 프로파일
              ➡ 커피 콩 표면의 온도, 중심과 표면 사이의 온도, 중심의 온도
              ➡ 3가지 온도에 대한 추가적인 측정은 로스팅 실험이 600초 지속되는 경우의
                   로스팅의 어떤 두드러진 측면들을 보여준다. Figure 4.5

 

 

  • 3가지 온도들은 모두
    ⇒ 주변 조건들에서 시작하여 거의 일정한 온도에 도달할 때까지 기울기가 감소하면서 증가한다.
  • 콩 가열의 첫 기간(0~50초) 동안에는 ⇒  중심온도와 표면온도의 차이가 적어도 최대 70도를 넘는다.
  • 반면, 중심온도와 표면까지의 반에 해당하는 거리에 있는 부분의 온도간의 차이는
    ⇒ 거의 전체 로스팅 시간에 걸쳐 대략 최대 10도 까지 증가한다. 
  • 분명히 로스팅 프로세스는
    ⇒ 중심부에 비해서 바깥 부위가 훨씬 더 빠르다.
    ⇒ 이는 아마 그 콩의 바깥 부분들(outer parts)에서의
        높은 열적 스트레스 (high thermal stresses)를 유도한다. 
  • 로스팅 타임 200 sec 후에 작은 온도 저하가 갑자기 발생한다. 
    ⇒ 이 시점에서는 내부 온도 차이들은 바깥의 온도 차이들에 비해 분명하게 높다.
    ⇒ 그러나 이런 온도 진행은 그 콩 전체에 걸쳐  동시에 발생한다. 
  • 이러한 비일관적인(unsteady) 현상 후에는
    ⇒ 온도들은 그 이전보다 더 빠르게 올라간다!
    ⇒ 이는 표면에서부터 시작하여 중심 영역을 향하는
        물의 증발(기화) 때문에 그 콩 내에 형성된 압력에 의해 설명될 수 있다.

  • 그러나, 열 이동의 추진력(driving force of heat transfer),
    ⇒ 즉 주변과의 온도 차이(temperature difference to the ambient)는 항상 줄어들기 때문에
        수분 증발의 진행 속도는 감소된다. 
  • 따라서, 콩 내부 압력이 증가하는 것은
    ⇒ 그 온도가 기화 온도(vaporization temperature)를 넘어설 때까지이다.
    ⇒ 기화 온도는 높아진 압력 하에서 더 높다.
  • 따라서, 그 콩의 중심에 남아 있는 물은
    ⇒ 자발적으로 증발하며 (evaporates spontaneously)
    ⇒ 흡열 플래시(endothermic flash)가 약간의 온도 저하를 만들어 낸다.
  • 그 플래싱 직후에
    ⇒  완전한 발열적 로스트 반응이 그 콩의 핵심부로 진행되어질 수 있게 된다. 

 

 

 

  • 커피 콩을 가능한 동질적으로 로스트하기 위해서는
    ⇒ 가열 기체 온도의 느린 증가가 가능한
        단계적 프로세스(stepwise process)가 유리한 것으로 보인다. 
  • 나아가, 콩에서의 압력 형성이  ⇒ 충분한 아로마의 생성을 위해 중요하다.
  • 따라서, 적정한 차이들을 가진 온도 프로파일 뿐만 아니라
    ⇒ 그 콩 내부에서의 충분한 압력 형성을 가능케 하면서
    ⇒ 가열 기체(heating gas)에 대한 온도를 제어하는 것이 로스팅의 목적이어야 한다. 

 

 

   4.2  ROASTING TECHNIQUES

 

  • 전통적인 로스팅 테크닉들을 설명한 문헌들
    Sivertz and Desrosier (1979), Rothfos (1984), Clarke (1987)
  • 최근 더욱 새로운 로스팅 테크닉들의 발전을 요약한 문헌
    Clarke and Vitzthum (2001)
  • 로스팅 장비 제조업체로부터 구할 수 있는 문헌들
    ⇒ 예) Probat Werke at Emmerich, Germany
              Neuhaus Neotec at Reinbek, Germany

 

 

  • 엔지니어링 관점에서, 로스팅의 원리들은 Figure 4.6의 기계적, 열적, 작업적 관점에서 설명될 수 있다.
  • 전통적 로스터들의 경우에는
    ⇒ 커피 생산품들의 더욱 큰 다양성으로 향하는 경향이
         smaller uniform charges로 이끌어왔고 
    ⇒ 따라서 원두 및 분쇄 커피 시장에서의 대형 연속형 로스터들에 대한 수요가 줄어들고 있다. 
  • 현대 제어 기술들 덕분에, 
    ⇒ 열 입력이 시간에 따라 달라질 수 있는 일관처리형 로스터들로
         매우 일관성이 높은 생산품들을 얻어낼 수 있게 되었다.
  • 가압식 로스터와 스팀 로스터들은 지속적인 연구에도 불구하고 ⇒ 상업적으로 이용가능한 것은 없다.

 

 

  • Table 4.2현대 로스팅 기술의 기본적 원리들을 요약하고 있다 : 
    뜨거운 기체의 强制的 對流가
    움직이는 커피 콩들의 層을 통과하도록 한다.
  • 콩들의 움직임은 
    ⇒ 회전에 의해서 만들어지거나 또는
    ⇒ 로스팅 기체들의 흐름에 의해 만들어진다. 
  • 뜨거운 기체는 ⇒ 가스에 의해서 만들어지거나 또는
                         ⇒ 오일 버너에 의해 만들어진다. 
  • 증가하는 에너지 원가와 환경적 고려사항들 때문에, 현대적 로스팅 장비는 보통
    ⇒ 사용한 기체로가 가져오는 고형 입자들(체프, 먼지)을 싸이클론에 남겨 제거하는
        재생하는 기능을 포함한다.
  • 그 기체는 
    ⇒ 어떤 나라들에서는 법적으로 요구되기도 하는
    ⇒ 그 속에 존재하는 1600 이상에서부터 50 이하 mg/Nm3까지의 잔존 입자들과
         휘발성 유기물질(aerosols, condensate, etc)을 모두 태워버리기 위해서
    ⇒ 버너로 되돌려 보내지거나 또는 
        400℃~600℃의 온도로 가동하는 thermal afterburner로 되돌려 보내진다.
    ⇒ 그 나머지 열 에너지는 유입되는 신선한 공기를 사전 가열하는데 사용되어질 수도 있다. 

 

 Energy balance and heat transfer

 

  • 가열 기체로부터 콩 표면과 콩 내부로의 열 이동 방식들에 관한 탐구는 다소 복잡하다.
  • 따라서, 근사적인 계산만이 가능하다. 
  • 그럼에도 불구하고, 열 전달 이론(heat transport theory)은 로스팅 과정을 이해하는데 도움이 된다. 
  • 평균적인 상수적 지름 6mm의 타원체형 커피 콩들을 가정하여, 
    ➡ 대류적 열 전도 경향(tendency of convective heat transfer)이 주어진 기체 온도에 대해 계산될 수 있다. 
  • Figure 4.7에서는
    ➡  Heat transfer coefficient (열 전도 계수) α가 
         the Reynolds number Re에 대응하여 나타나 있다. 

 

 

  • a motionless system (vrel = 0)에서,
    the heat transfer coefficient는 ⇒ 14W/m2K 근처이며
    a minimum fluidization velocity (e.g. Re = 300)은 ⇒ 75W/m2K 범위내의 α-values를  야기한다

  • 콩 하나로의 열전도는 ⇒ 커피 콩들로 이뤄진 층(bed)으로의 열전도와 다르다.
  • 층으로의 열전도 그 계산 값들은
       ⇒ 동일한 공탑속도 (superficial velocity)에서 
           단일 타원체들(single spheres)의 것들 보다 더 높다. 
  • 그리고 실제 로스팅 프로세스는
       ⇒ 그 2개의 곡선들 사이의 영역 내에서 열전도 값들을 나타낼 것으로 기대된다. 

 

  • 두 가지 중요한 결과들이 나타난다 : 
    [1] 한편으로는, 더 높은 속도들에서는
         단지 약간의 열전도 향상만이 가능하다는 것이며, 
    [2] 다른 한편으로는, 외부 열 전도의 향상은
         내부 콩 구조의 열전도 저항 때문에 제한적이라는 것이다.
  • The amount of heat energy Q (KJ) transferred to the bean
       그 콩으로 전도되어지는 열에너지의 량 Q (KJ)는 다음과 같은 등식으로 계산되어질 수 있다 : 

 

 

  • 비록 the packed bed of coffee beans가 가장 높은 열전도 계수를 나타내지만
           유동화하는 기체들(fluidizing gases)을 사용하는 로스팅의 이점이 등식 4.1에서 분명해진다. 
  • 유동화된 콩들의 Surface area (표면적) Acs 는
          뜨거운 기체들과 밀접하게 접촉하며
          결과적으로 열 전도는 더욱 효과적이고 동질적이다. 


    Figure 4.8은  ➡ 연속적으로 가동되는 로스팅 섹션의 에너지 흐름의 균형을 보여준다. 

 

 

  • 열이 들어가고 나오기 때문에, 그 에너지 흐름을 밸런싱함에 있어서
    ⇒ enthalpies of vaporization (기화 엔탈피)  Δhv
    ⇒ exothermic reaction (發熱反應) Δhex 이 고려되어야 한다.
  • 로스터로부터 대기(atmosphere)로의  추가적인 열 손실 Qloss가 있다. 

 

  • 잠재 에너지에 대한 수치는 아직 잘 알려진 바가 없다.
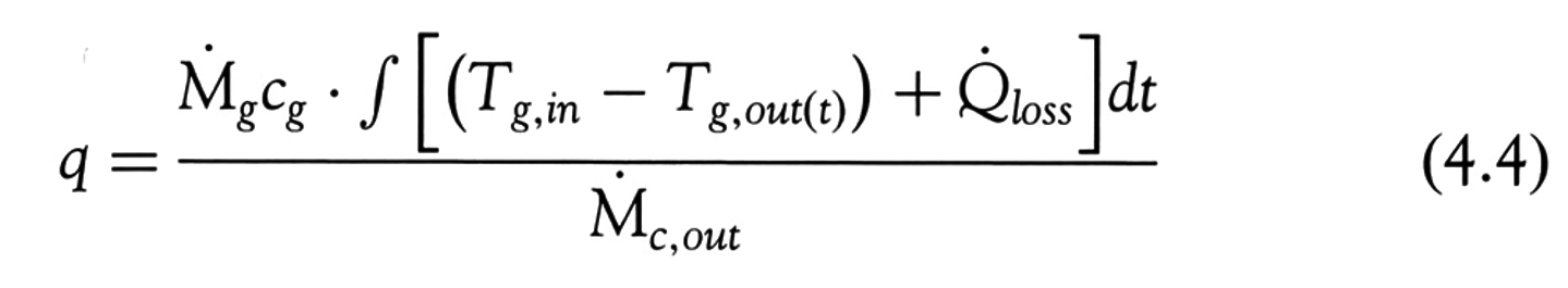
  • 로스팅 기체와 플레이버의 발달로 인한 Mg,in과 Mg,out 간의 차이를 무시하고
           특정한 기체 열을 상수로 설정함으로써 특정 에너지 수요 q [kJ/kg roastcoffee]는 다음과 같은 것이 된다 :

 

 

  • 배취 로스팅의 경우에는,
    ⇒ 로스터 출구에서의 기체 온도는 시간에 따라 증가하며
    ⇒ 요구되는 특정 로스팅 에너지는 적분법(integration)에 의해 다음과 같이 계산될 수 있다 :

 

 

  • 에너지 수요(energy demand)를 나타내는 등식을 열 전도(heat transfer) 등식과 비교하면, 
    ⇒ 에너지적으로 최적화되는 로스팅 프로세스는
        작은 온도 차이들과, 높은 열전도 계수들을 가지고 가동되어져야 한다는 것을 가리킨다. 
    ⇒ 이는 뜨거운 기체의 낮은 온도와 높은 속도를 의미한다. 

 

 

 High yield or fast roasting

 

  • 비록 저온에서의 프로세싱이 유리한 에너지 조건들에서의 균일한 로스팅에 이점이 있지만, 등식 (4.1)과 등식 (4.4)에 관계되는 향상된 열 전도를 위한 대안이 있다 :
          ⇒ 기체 온도 Tg의 증가와
               뜨거운 기체 대 커피에 대한 비율의 증가
  • Fast roasting
    ⇒ 즉, 90초 정도 또는 훨씬 더 적은 시간(현재 가장 짧은 로스팅 타임은 60초까지도 가능)까지
         더욱 단축된 시간 동안에 로스팅에 필요한 온도 에너지를 제공하는 것이
         300~400도 온도에서의 대류 로스팅(convection roasting)의 개발로 가능해졌다. 
  • Fast roasting의 특징
    ⇒ 콩의 빈약한 열 전도성(thermal conductivity) 때문에
         그 콩 내에서의 로스팅 변화도(roasting gradient)가 있고(특히, 낮은 로스팅 온도에서 현저함)
    ⇒ 콩 부피(bean volume)는 전통적 로스팅에 비해 약 10~15% 정도 부풀어 오르는 특징으로 증가되며
    ⇒ 벌크 밀도(bulk density)는 300 g/l 이하로 줄어들고
         추출 수울(extraction yield at brewing)은 20% 정도 증가된다.
  • 요약하면, 로스팅 동안의 콩 온도 변화가 중요한 파라미터라는 것이다. 

  • 콩 온도(bean temperature)와 로스팅 시간(roasting time) 두 가지 모두
    ⇒ 열 이동(heat transfer)에 강하게 의존적이며
    ⇒ 따라서 적용되는 로스팅 기술에 크게 좌우된다. 
  • LTLT (Low Temperature Long Time)
    HTST (High Temperature Short Time) 프로세스의 결과들은

    ⇒ 약간 증가하는 함수로 통합된다. 
    Clarke and Vitzthum (2001, p. 93)의 측정 결과 문헌 데이터와 잘 일치되었다. 

  • 로스팅 동안의 콩 온도 변화에 대한 데이터가 보고된 바 있었다.
    Da Porto et al. (1991), Schenker et al. (1999)
  • Schenker et al. (1999)
    ⇒ 100g의 arabica beans를 fast fluidized bed에서 로스트했다. 
    ⇒ 0.01885 m3/s의 hot air flow에서 두 가지 방식으로 로스팅 진행
        [1] 소위 LTLT 로스팅 = 열기체 온도 220 ℃,  로스팅 타임 9분 ~ 12분 동안
        [2] 그 다음 HTST 로스팅 = 260 ℃, 로스팅 타임 2.6분 ~ 3분 
    ⇒ LTLT rosating의 경우에, 콩 온도와 다른 파라미터들은 로스팅 타임의 함수로서 주어졌다 :
                             콩 온도는 2분 동안에 20 ℃에서 90 ℃까지 계속적으로 높아졌다. 
                             이 증가는 최종 증가(211 ℃ after 14 minutes)의 90%에 해당한다. 

 

Figure 4.9 로스팅 손실과 콩 온도 – 다른 종류의 프로세스들 

 

 

  • Da Porto et al. (1991)에 의해 발표된 콩 온도 데이터는 
    ⇒ 실험실 로스터(HTLT)에 의해서 브라질 Santos coffee를 로스팅하여 얻어졌다.
    ⇒ 이 전통적 실험실 로스터과 비교할 때 유동층 로스터(a fluidized bed roaster)는
         콩 온도에서의 상당히 빠른 증가를 나타낸다. 
    ⇒ 그러나, 그 콩의 빈약한 열 전도성(poor thermal conductivity) 때문에
        콩 내에서의 로스팅 레벨의 변화도(gradient of roasting level)이 있고
        특히 low roast에서 더욱 두드러졌다. 
    ⇒ 부피(volume)는 그 콩의 부풀어 오른(puffing) 특징으로 전통적 로스팅에 비해 10-15% 증가 됬고
    ⇒ 벌크 밀도(bulk density)는 300 g/l 이하로 더 낮았으며
    ⇒ 추출 수율은 20% 더 높았다. 
  • High yield roasting은
    ⇒ 아린 신 노트를 컵에 가져오는 높은 클로로제닉산류 잔유물 때문에
        이탈리안 에스프레소로서는 적합한 것으로는 생각되지 않는다
         (Maier, 1985; Illy and Viani, 1995, p.65).

 

'Coffee Roasting' 카테고리의 다른 글

로스팅 중 커피콩 成分의 化學的 變化  (7) 2025.08.05
커피 로스팅의 기본원리  (2) 2025.04.17
커피 로스팅  (0) 2025.04.14
커피 로스팅에 의한 변화  (0) 2025.04.11

댓글