

Contents
1 General Introduction
2 Volatile Constituents of Coffee
3 Volatile Compounds of Arabica and Robusta Coffee
4 Bioactive Coffee Constituents
5 Coffee Acidity and Its Impact on Quality
6 Environmental and Processing Influence on Chemical Composition of Coffee
7 Chromatography Applied to the Analysis of the Chemical Composition of Coffee

1 General Introduction
- 커피 品質은 價値를 높이는 主要 要因이며, 여러 要因이 最終 製品에 影響을 미치지만, 커피에 最終 風味와 香을 賦與하는 것은 化學成分들이다. 커피콩에서 이러한 化學成分의 形成은 現場 및 産業 水準에서 複雜하고 相互連結된 方式으로 加工에 의해 影響을 받을 수 있다.
- 이에 寄與하는 要因은
┌ 遺傳的 要因,
├ 環境的 要因,
├ 營養的 要因,
├ 栽培的 措置,
├ 收穫 테크닉,
├ 收穫 後 프로세싱,
├ 乾燥,
├ 加工 및 保管,
└ 로스팅 및 飮料 抽出이다. - 本 章에서는
커피 化學에 대한 明確하고 客觀的인 觀点을 提示하고,
揮發性 化合物, 有機酸에 대한 知覺 및 品質과 相互作用하는 方法에 대한 劃期的인 省察을 提供하며,
커피의 生理活性 化合物을 論議하고,
加工 形態가 커피의 最終 品質에 미치는 影響을 提示하며,
끝으로 커피의 化學的 組成 分析에 適用되는 크로마토그래피 技術에 대한 省察을 提供한다. - 揮發性 및 非揮發性 成分의 含量과 組成은 커피 飮料의 形成과 아로마에 影響을 준다.
高品質 커피에 適合한 化學成分을 밝히기 위한 硏究가 많이 進行 中이지만, 科學的으로 여전히 論難이 많은 問題들이 있다.
- 飮料 側面에서
Coffea arabica L. (아라비카 커피)는 市場에서
Coffea canephora (코닐론 또는 로부스타)에 비해 優秀한 品質로 간주된다. - 이 種들은
⇒ 生豆의 化學的 組成에 差異가 있으므로,
⇒ 로스팅 段階 後에 다양한 揮發性 化合物이 形成되고
⇒ 이러한 區別을 生成하는 아로마틱 特性이 形成된다 (Couto et al. 2019). - C. arabica L. 및 C. canephora 種은
⇒ 트리고넬린, 蔗糖, 카페인, 클로로겐酸 및 脂質 水準과 관련하여 상당한 差異를 보였다. - Figure 5.1은
⇒ C. arabica L. 및 C. canephora 커피 生豆에서 發見된
이러한 成分들(in 100 g−1 on a dry basis)에 대한 一部 平均값을 보여준다. - 카페인 含量에 관해서는
⇒ C. canephora (2.2%)가 C. arabica L. (1.2%)의 거의 두 배이며,
⇒ 總 클로로겐酸의 값은 C. canephora에서 더 높다. - 糖 含量에 관해서는,
⇒ C. arabica에서 C. canephora에 비해 蔗糖(sucrose)이 두 배로 發見되고, - 脂質(lipid)과 트리고넬린(trigonelline) 含量은
⇒ C. arabica에서 더 높다. - C. arabica에 비해 C. canephora의 더 높은 클로로겐酸 레벨은
⇒ 그 飮料의 더 큰 떫은맛(astringency)에 寄與할 수 있다 (Ribeiro et al. 2011).
⇒ 이 屬性은 커피의 센서리 分析을 遂行하는 專門家들이 技術 分野에서 널리 論議하는 屬性이다. - Da Silva Taveira et al. (2014)에 따르면, C. arabica는
⇒ 飮料의 부드러움(smoothness)과 단맛(sweetness)이 더 강하기 때문에
⇒ 消費者 受容度가 더 높고
⇒ 穀物의 平均 蔗糖 含量은 C. canephora의 거의 두 배이다.

- 그러나 種 自體 內에서
⇒ 化學的 組成과 센서리 特性은 다를 수 있으며,
⇒ 이는 遺傳的 改良 戰略과 適切한 栽培 및 管理 技術의 使用이
飮料 品質 向上에 寄與할 수 있음을 나타낸다 (Martinez et al. 2014). - 커피 作物의 地理的 位置도
⇒ 열매의 化學的 組成에 影響을 미칠 수 있다.
⇒ 氣候, 地形 및 太陽 輻射 强度는 다양한 品質의 커피 生産에 관련된 要素이다 (Pereira et al. 2018). - Babova et al. (2016)에 따르면,
⇒ 브라질, 콜롬비아, 에티오피아, 온두라스, 케냐, 멕시코, 페루, 우간다 및 베트남의 9개국에서
栽培된 C. arabica 및 C. canephora 種 生豆의
클로로겐酸 및 카페인 含量을 비교해보면,
⇒ C. canephora (베트남 및 우간다)에서 더 높은 水準의 클로로겐酸과 카페인이 發見되었고,
⇒ 에티오피아의 C. arabica에서는 더 적은 量이 觀察되었다 (Fig. 5.2 and Table 5.1).
Figure 5.2 지리적 원산지가 다른 C. arabica와 C. canephora 생두의 총클로로겐산 및 카페인 함량

Table 5.1 분석된 커피 샘플들의 원산지

- 結果에 따르면
⇒ 케냐産 C. arabica의 그린 빈은 다른 硏究對象 커피에 비해
抗酸化 能力이 높고 카페인 含量이 낮아 食餌療法에 適合한 것으로 간주되었다. - 그린 커피 抽出物(extract)이 抗酸化 作用으로 인해 健康 補助食品으로 使用할 수 있으므로,
chlorogenic acid/caffeine 比率이 높은 커피가 바람직하다 (Babova et al. 2016). - Dias and Benassi (2015)는
⇒ 아라비카와 로부스타 커피를 區別하는 分析 方法을 硏究했으며,
⇒ 이를 위해 세 가지 焙煎度에서 이러한 커피의 比率을 다르게 하여 混合物을 만들었다.
⇒ 그런 다음,
色相 媒介變數와 카페인, 트리고넬린, 클로로겐酸(5-CQA) 및 니코티닉(nicotinic)의 水準을 評價했다.
⇒ 카페인 含量이 로스팅 程度에 關係없이 커피를 구별하는데 가장 適合한 媒介變數였으며,
최대 238°C까지 安定的이었다. - 管理도 역시 커피의 品質에 影響을 줄 수 있으며, 제대로 遂行해야 하는 收穫 段階를 强調한다.
⇒ 이 段階에서 가장 중요한 勸奬事項은 익은 열매만을 100% 收穫하는 것,
즉 選擇的 收穫(selective harvest)을 하는 것이며,
收穫 後 段階에서 센서리 品質을 最適化하는 것을 目標로 한다.
⇒ 이 段階에서 대부분의 커피콩은 最大 成熟度를 가지며,
⇒ 이는 커피콩을 로스팅한 후 飮料의 品質에 바람직한 特性인
aroma, flavor, sweetness, body, acidity, 그리고 balance에 좋은
더 높은 水準의 sugars 및 기타 成分들에 貢獻할 수 있을 것이다 (Giomo 2012). - Rogers et al. (1999)은
⇒ 펄스 電氣化學 檢出과 結合된 高性能 음이온 交換 크로마토그래피
(High Performance Anion Exchange Chromatography Coupled with
Pulsed Electrochemical Detection, HPAE-PED)을 사용하여,
⇒ 세 가지 C. arabica 栽培品種들 (Arabica)과
두 가지 C. canephora (robusta)에서
⇒ 穀物 發達의 여러 段階에서 評價한 커피빈의
單糖類 및 올리고당 (mono and oligosaccharides), 알코올, 카르복실酸(carboxylic acid) 및
無機酸(inorganic acids) 濃度들의 變化를 發見했다.
⇒ 分析된 成分은 穀物 發達 期間의 後半에 蓄積되었다.
⇒ 체관부(phloem)에서의 主要 轉流 糖(translocation sugar)인
蔗糖(sucrose) 濃度가 상당히 增加한 것으로 觀察되었으며,
⇒ 이는 異化 反應(catabolic reactions)을 통해
페놀(phenols)과 알데히드(aldehydes)를 포함한
다른 化合物의 生合成을 위한 에너지와 炭素源을 生成할 수 있다. - 따라서 커피빈의 熟果度(degree of maturity)는
⇒ 열매 成長期間 동안 光合成이 蓄積되기 때문에
良質의 飮料를 얻는데 매우 重要하다 (Fagan et al. 2011). - 收穫 段階 後에는
⇒ 커피 열매에 存在하는 外因性(exogenous) 또는 內因性(endophic) 微生物로 인해
變質이 發生하지 않도록 즉시 加工, 醱酵 및 廢棄해야 한다.
- 따라서 커피 乾燥는
⇒ 保管 中 콩을 保存하는데 寄與하며,
⇒ 良質의 製品을 얻고자 할 때 커피 收穫 後 主要段階 중 하나이다 (Resende et al. 2011). - 한편, 乾燥하는 동안 커피 콩의 水分 含量은
⇒ 60%에서 11~13% 範圍의 값으로 減少하여,
⇒ 酸化 및 곰팡이 및 박테리아 成長의 危險을 除去한다. - 반면, 適切한 乾燥 技術을 사용하지 않으면
⇒ 바람직하지 않은 物理的, 化學的 및 感覺的 變化로 인해 穀物 品質이 低下될 수 있다 (Borém et al. 2008). - 乾燥 段階가 完了되면
⇒ 커피를 敷地 內 또는 外部 倉庫에 保管할 수 있으며, 이는 브라질에서 두번째로 매우 一般的이다.
⇒ 커피는 일반적으로 코코(coco)에 保管하거나,
목재 틀(wooden bins)에 대량으로 保管하거나,
加工된 커피 삼베 자루(coffee burlap sacks)에 保管한다.
⇒ 종이 봉지나
Grainpro-lined packaging과 같은 새로운 技術이 高品質 保存을 위해 適用되고 있다. - 農場, 倉庫 또는 로스터에서 保管 場所는
⇒ 乾燥하고 通風이 잘 되어야 保管 時間을 늘리고 品質 損失을 防止할 수 있다. - 倉庫에서, 이미 이익을 얻은 커피는
⇒ 높은 保存性과 適切한 條件을 提供하는 構造로 配置해야 한다 (Ribeiro et al. 2017). - 收穫 후 커피 프로세싱은 다양한 品質의 飮料를 얻는데 寄與할 수 있다.
- 브라질에서는 乾式 加工(dry processing)이 우세하며,
⇒ 이 경우 콩을 日光 乾燥(sun dried) 또는 機械 乾燥機(mechanical dryers)에서 내추럴 乾燥하고,
⇒ 나뭇가지, 흙덩이, 이파리과 같은 不純物(impurities)을 除去하고,
⇒ 洗滌器를 통해 녹색 체리, 익은 체리, 그리고 마른 穀物로 分離하여
⇒ 均一한 롯트를 提供한다 (Giomo 2012). - 濕式 加工(wet coffee processing)에서는
⇒ 체리 알갱이에서만 껍질을 除去하고,
⇒ 물에 뜨는 열매들(buoy fruits)은 密度 差異로 分離하여 바로 乾燥場(drying yard)으로 보내고,
녹색은 分離하여 체리 껍질을 벗긴다.
⇒ 그 체리 段階의 커피는 껍질을 벗기는데(husked),
녹색 콩은 껍질이 더 강하다(단단하다).
⇒ 이 工程을 사용하면
원치 않는 醱酵를 담당하는 微生物이 發生할 危險을 最少化할 수 있다 (Santos et al. 2009).
⇒ 濕式 加工 중 껍질 除去 段階에서 品質이 낮은 녹색 커피가 많이 나온다. - Nobre et al. (2011)은
⇒ 濕式 및 乾式으로 加工한 녹색 (未成熟) 커피 열매들을 分析했는데,
껍질 벗기기 전에 休止期間들을 달리하고,
물로 껍질을 벗기는 경우와 물 없이 껍질을 벗기는 경우를 比較했다.
⇒ 사용된 原材料는 껍질을 벗긴 체리 커피 生産에서 얻어지는 그린 아라비카 커피 롯트들이었다.
⇒ 未成熟 열매 껍질 벗기기 段階(immature fruit peeling stage)는
녹색 알갱이 品質의 生理的 및 化學的 指標를 높였다.
⇒ 따라서 익은 열매(체리 커피)의 첫 필링 作業 直後에 未成熟 열매 필링은 穀物의 品質을 變化시키지 않았다.
⇒ 未成熟 열매들의 休止 동안에 물을 使用하는 것은 커피의 品質에 影響을 미치지 않았다.
- 로스팅 段階는 커피 飮料의 品質에 큰 影響을 미친다.
- 그린 커피(생두) 로스팅은 일반적으로 200°C 이상의 溫度에서 10~15분 동안 完了된다.
- 로스팅 동안
⇒ 여러 가지 化學 反應이 發生하여 커피 飮料의 아로마와 플레이버를 담당하는 揮發性 物質들이 形成된다. - 로스팅 過程에서,
⇒ 커피 빈의 부피는 50% 이상 增加하며,
⇒ 質量은 1/5 減少하여,
⇒ 水分 損失과 揮發性 物質들 및 二酸化炭素의 生成을 誘導하며,
⇒ 이는 內部 壓力 增加를 觸發하여 콩이 擴張하며, 소위 ‘crack’이라는 現像에서 보듯
콩의 細胞壁 組織에서 크랙이 發生한다. - De Morais et al. (2008)는
⇒ 3가지 타입(light, medium and dark)의 로스팅을 받은 로부스타 커피들의 化學的 組成을 分析한 바 있다.
⇒ 總 페놀 含量(total phenol content)은 焙煎度에 따라 有意하게 減少했다.
⇒ 프로안토시아니딘 (Proanthocyanidins) 濃度는 焙煎度 增加에 따라 增加했다.
⇒ 클로로겐酸 (Chlorogenic acid) 水準은 焙煎度 增加에 따라 減少했고,
⇒ 5-caffeoylquinic acid (5-ACQ)의 경우에 焙煎커피 간 差異가 有意했다.
⇒ 로부스타 커피에서 決定된 5-ACQ의 水準은 light와 medium 로스팅에서는 아라비카 커피보다 더 높았고,
dark 로스팅에서는 더 낮았다. - do Nascimento et al. 2007의 연구
⇒ 로부스타 커피의 揮發性 成分은 標準化된 커피 샘플을 3段階(light, medium, dark)로 로스팅 한 후
⇒ mass spectrometry와 結合된 gas chromatography (GC-MS)로 分析했다.
⇒ Medium 로스팅한 로부스타 커피의 essential oil 收率이
다른 類型의 로스팅 보다 優秀했으며,
⇒ 커피에 부드러운 香을 提供하는 化合物의 含量이 가장 높은 것은 light 로스팅한 커피에서 發見되었다
(do Nascimento et al. 2007). - 커피 로스팅에는
⇒ 여러 가지 反應들이 있으며, 그에 따라서 揮發性 化合物들이 生成된다. - 이 段階에서는
⇒ 糖의 캐러멜化(caramelization of sugars)로 알려진
Maillard Reaction (glycide의 카르보닐과 아미노산 아미노基의 縮合),
⇒ 클로로겐酸, 蛋白質 및 多糖類의 分解,
⇒ 탈카르복실化(decarboxylation) 및 異量體化(dimerization)를 겪는
하이드록시아미노산(hydroxyamino acids)의 反應 등이 있다. - C. arabica 또는 C. canephora와 같은 커피는
⇒ 加工 後 여러 가지 揮發性 化合物들을 含有하고 있으며,
⇒ 이러한 成分은 다른 음식이나 飮料보다 優數하다 (Moreira et al. 2000). - 커피 生豆와 焙煎 커피의 香은 매우 다르며,
⇒ 커피 生豆에는 약 250 가지의 揮發性 化合物이 있는 반면
⇒ 焙煎 커피에는 1,000가지 이상의 이러한 成分이 있을 수 있다. - 볶은 커피의 이러한 揮發性 化合物들은
⇒ 위에서 언급한 바와 같이 볶는 段階에서 여러 反應에 의해 形成되며,
⇒ 여기에는 還元糖이 아미노산과 凝縮되어 커피콩에 어두운 色相을 주는
멜라노이딘(melanoidins)이 形成되는 마이야르 反應(Maillard Reactions)이 있다. - Maillard reaction은
⇒ 아미노산들과 還元糖들 간의 化學的 反應으로, 褐變되는 食品에 독특한 플레이버를 賦與한다.
⇒ 1912년 生物學的 蛋白質 合成을 再現하려는 試圖 중에
그것을 최초로 說明한 프랑스 化學者 Louis-Camille Maillard를 이름을 딴 것이다.
- 커피 品質 關係를 理解하기 위해, 커핑 테이스트 分析은
⇒ 主觀的임에도 불구하고 全 世界的으로 받아들여지고 適用되는 技術이다 (Pereira et al. 2017). - 物理化學的 特性과 飮料의 品質 간의 關係를 찾으려는 硏究가 試圖되었으며,
이는 센서리 分析을 더욱 標準化되고 正確한 方式으로 도울 수 있다 (Borém et al. 2008; Pereira et al. 2018). - 센서리 分析에서 評價된 側面은 다음과 같은 化學 分析들과 比較할 수 있다:
🟦 acidity는 ⇒ pH 測定, 總 滴定酸度(total titratable acidity), greasy acidity로 評價할 수 있다;
🟦 sweetness는 ⇒ total sugar contents 및 reducing sugar contents와 比較할 수 있다;
🟦 body astringency는 ⇒ 카페인 含量, 클로로겐酸, 트리고넬린;
🟦 aroma 및 fragrance는 ⇒ 가스 크로마토그래피로 分析할 수 있는 揮發性 成分 分析. - 그러나 열매가 形成되는 동안 커피를 最終的으로 消費할 때까지 發生하는 相互作用들로 인해
이러한 作用에 대해 正確한 硏究는 거의 없다.
- Acidity는
⇒ 커피 센서리 分析에서 중요한 屬性이며,
⇒ 그 强度는
種(아라비카 또는 코닐론), 열매 成熟 段階, 原産地, 收穫 類型, 加工 方法, 乾燥 類型 및 條件,
收穫 및 乾燥 중 氣候에 따라 다르다 (Lima Filho et al. 2015). - Acidity가 增加하면
⇒ 커피 品質이 低下될 수 있으며, 낮은 飮用 커피는 酸度가 더 높을 수 있다 (Lima Filho et al. 2013). - 本 論文의 實驗에서 硏究한 여섯 가지 範圍 중,
⇒ red Catuaí 品種에서 發見된 minimum total titratable acidity (最小 總 滴定酸度)는 226.29 mL이고
觀察된 最大값은 316.91 mL였다. 이 데이터는 Malta et al. (2002)에서 說明한 값과 一致한다. - Voilley et al. (1981)은
⇒ 아로마 强度(aroma intensity)와 acidity (飮料) 사이에 좋은 相關關係가 있다고 提示하여
⇒ 總 滴定酸度가 높을수록 커피 品質이 더 좋다는 것을 確認했다. - 總 滴定酸度 分析을 통해
⇒ 커피의 品質을 分類할 수 있으며,
⇒ 커핑 맛에 따른 評價에 더 큰 確信을 줄 수 있다 (Malta et al. 2008). - pH 값은
⇒ 커피 열매의 가능한 變形을 나타내는데,
⇒ 收穫 前 또는 收穫 後에 發生하는 바람직하지 않은 醱酵로 인해 缺陷이 發生한다
(de Siqueira and de Abreu 2006). - 가장 높은 grease acidity 값은 ⇒ 品質이 낮은 커피에서 發見된다.
- Pinheiro et al. (2012)에 따르면,
⇒ 乾燥機의 乾燥 값에 비해 農場의 乾燥 커피의 grease acidity 값이 높다.
⇒ 햇빛과 과도한 빛에 커피가 직접 露出되면
→ 光化學 反應이 促進되고, 커피 grease acidity 레벨이 增加할 수 있다.
⇒ 高溫에서는 細胞膜이 破裂되어 脂肪酸(fatty acid) 漏出이 發生할 수 있으며,
이는 酸化(Coradi et al. 2008) 및 酸敗 反應(rancification reactions) 可能性으로 인해
커피 品質을 損傷시킬 수 있다. - 커피콩의 脂質(Lipid) 레벨은
⇒ 飮料 品質에 影響을 미치며, 脂肪酸과도 關聯이 있지만, 이와 關聯된 硏究는 거의 없다 (Borém et al. 2008). - 칼륨 浸出(Potassium leaching) 및 電氣 傳導度(electrical conductivity) 테스트는
⇒ 細胞膜 無缺性의 가능한 指標로 使用되었다. - 品質이 낮은 飮料(riada 및 rio)를 提供하는 커피는
⇒ 칼륨 浸出 및 電氣 傳導度 값이 가장 높았다 (Nobre et al. 2011).
⇒ 直化 乾燥機(direct fire dryer) 로부스타 乾燥 커피 경우
電氣 傳導度와 칼륨 浸出 값이 溫室 乾燥 커피 샘플에서 發見된 값보다 높았다. - 칼륨 浸出, 이온 含量 및 電氣 傳導度가 높은 것은
⇒ 乾燥 중에 사용되는 高溫과 關聯이 있을 수 있으며,
⇒ 이는 細胞膜 構造를 損傷시켜 커피 飮料 品質에 影響을 미친다 (Borém et al. 2008). - 收穫 후 0~10일 동안 자루에 保管했을 때 評價한 로부스타 커피 샘플의
電氣 傳導度 및 칼륨 浸出값 중 最高값들이 飮料 品質의 惡化에 따라 觀察되었다 (Abraão et al. 2016).
- 糖(sugars)은
⇒ 炭水化物 (carbohydrates) 또는 配糖體(glycosides)라고도 하며,
⇒ 炭素, 水素, 酸素로 構成된 有機分子다. - 炭水化物(Carbohydrates)은
⇒ 單糖類(monosaccharides)로 分類할 수 있으며,
⇒ 單糖類는 化學式 (CH2O)n의 단위로 形成되며, 여기서 "n"은 炭素 原子의 數이다.
예를 들어 葡萄糖, 果糖 및 갈락토스가 있다. - 炭水化物은 또한
⇒ 單糖類 두 개가 글리코시드 結合으로 연결되어 形成된 二糖類(disaccharides)로 分類할 수 있으며,
⇒ 예를 들어 蔗糖(sucrose) (葡萄糖 glucose + 果糖 fructose)이 있으며, - 그리고 여러 單糖類가 結合되어 形成된
⇒ 多糖類(polysaccharides)가 있는데,
⇒ 主要 例로 셀룰로스(cellulose) 및 澱粉(starch)이 있다 (Lehninger et al. 2013). - 糖은 또한
⇒ 還元性(reducing) 및 非還元性(non-reducing)으로 분류할 수 있으며,
⇒ 分子 내에서 自由 알데히드基(free aldehyde group)가 있거나
케톤(ketone)이 알데히드로 異性質化될 수 있는 경우 당은 還元性으로 간주된다. - 알데히드基는
⇒ 금속 이온(Cu2+ 또는 Fe3+)과 같은 酸化劑의 存在 下에 酸化될 수 있고,
⇒ 그 金屬 이온은 還元되어 糖이 還元劑로 作用할 수 있다. - 葡萄糖은
⇒ 자유 알데히드基가 存在하기 때문에 還元糖(reducing sugar)이지만, 二糖類의 예도 있다 (Fig. 5.3)
(Lehninger et al. 2013). - Figure 5.3 ➡ Cu2+ 이온이 있을 때 D-glucose (還元糖)의 酸化


- 蔗糖(Sucrose)은
⇒ 非還元糖의 한 예이지만,
⇒ 酸性 媒質에서 加水分解(hydrolysis) 후
알데히드基(aldehyde group)를 가지는 還元糖인 葡萄糖(glucose)과 果糖(fructose)을 放出한다. - 還元糖은
⇒ 循環 形態에서 Fig. 5.4에 表示된 것처럼
⇒ 自有 아노머 하이드록실(free anomeric hydroxyl)을 가진 糖으로 定義된다 (Lehninger et al. 2013). - 食品의 還元糖, 非還元糖 및 總 糖 含量을 決定하기 위해 傳統的인 方法은
⇒ 구리(Cu2+), 철(Fe3+) 및 은 양이온(Ag+)과 같은 이온을 含有한 鹽의 存在 하에
酸化되는 還元糖을 먼저 決定하는데 기반을 둔다 (Demiate et al. 2002; Silva et al. 2003). - 식품에 存在하는 모든 糖이
⇒ sucrose (fructose and glucose)와 같은 單糖類 形態인 것은 아니므로,
⇒ 總 糖 含量을 알아내려면 食品에서 얻은 샘플을 加水分解한 다음
언급된 이온들의 存在 下에 酸化되어야 한다 (Paula et al. 2012).

- 커피의 炭水化物은
⇒ 高性能 액체 크로마토그래피(high performance liquid chromatography, HPLC)로 分析할 수 있으며,
⇒ 蔗糖, 果糖, 葡萄糖 등은 별도로 定量化할 수 있다. - 커피에 糖이 많을수록 ⇒ 로스팅 過程이 잘 進行될 때 飮料에 더 달콤한 맛이 난다.
- 커피의 로스팅 過程에서 還元糖은
⇒ 주로 아미노산과 反應(마이야르 反應)하여
⇒ 커피의 褐色 色相을 담당하는 바람직한 有色 化合物을 生成한다.
⇒ 이러한 反應에서 最終 産物의 香에 큰 影響을 미치는 揮發性 化合物이 生成되어
더 나은 品質을 提供한다 (Wang and Lim 2017). - 특히 蔗糖과 같은 非還元糖은
⇒ 커피에서 더 많은 양으로 發見되며
⇒ 感覺的으로 매우 重要하다.
⇒ 이 物質은 로스팅의 影響을 받고
플레이버 前驅體 役割을 하며 色相 形成의 原因이 된다 (Crews and Castle 2007). - 이상과 같이, introduction 섹션에서는 化學 構造에 대한 많은 要點을 紹介하면서 커피 化學의 影響이 다양한 徑路에서 온다는 점을 論議했다.
- 다음 섹션들에서는 독자들에게 揮發性 化合物, 有機酸 및 品質, 生理活性 化合物, 化學 構造의 환경 및 프로세싱 影響 간의 相互作用에 대한 비전을 紹介한다.
- 마지막으로 커피 品質 飮料를 理解하기 위한 分析學的 分析을 포함한 크로마토그래피에 대해 論議했다.
2 Volatile Constituents of Coffee
- 커피의 揮發性 成分들(volatile constituents)은 커피 飮料의 品質에서 매우 重要하며, 볶은 커피 香의 原因이 되는 것이다.
- 커피 揮發性 物質들의 形成에 관여되는 化學的 프로세스들은 다음과 같다 :
(1) 窒素 含有 物質, 아미노산, 蛋白質, 트리고넬린, 세로토닌, 炭水化物, 하이드록시酸 및 페놀 등의
非酵素的 褐變 反應(non-enzymatic browning reaction)인 마이야르(Maillard) 反應
(2) 스트레커 分解 (Strecker degradation);
(3) 개별 아미노酸들의 分解, 특히
含黃 아미노酸(sulfur amino acids), 하이드록시 아미노酸(hydroxy amino acids),
그리고 프롤린(proline)의 分解;
(4) 트리고넬린 (trigonelline)의 分解;
(5) 糖의 分解 (캐러멜化);
(6) 페놀酸(phenolic acids)의 分解, 특히 퀴닉酸 部分(quinic acid moiety)의 分解;
(7) 마이너한 脂質 分解(lipid degradation), 그리고
(8) 中間 分解産物들 間의 相互作用 (Coffee Research Institute 2018). - 로스팅 段階에서 揮發性 커피 化合物이 形成되고,
- 蔗糖(sucrose)은 이 段階에서
⇒ 熱分解(pyrolysis) (caramelization),
⇒ 短片化(fragmentation) 및/또는
⇒ 마이야르(糖) 反應(Reducer + amino acid)에 의해 劇的으로 分解되기 때문에,
이러한 化合物들의 重要한 前驅體이다 (de Maria et al. 1999). - Figure 5.5는
➡ 커피 및 其他 食品의 아로마와 테이스트의 原因이 되는 로스팅 段階에서 生成되는
揮發性 및 非揮發性 化合物 部類들을 要約한 圖解을 보여준다
(Yeretzian et al. 2002; Kosowska et al. 2017). - 커피의 揮發性 物質 組成은 매우 複雜하며, 800개 이상의 化合物들이 識別되어 發見되었다:
⇒ furans (38~45%),
⇒ pyrazines (25~30%),
⇒ pyridines (3~7%) 및
⇒ pyrroles (2~3%), 그리고
⇒ 기타 系列의 化合物들(카르복실酸, 알데히드, 케톤, 含黃 化合物, 등)이 있다
(Nijssen et al. 1996; Uekane et al. 2013).

- 마이야르 反應(Maillard reaction)은
⇒ 還元糖에 存在하는 카르보닐基(carbonyl group) (C=O)가
⇒ 아미노산이나 단백질에 存在하는 아미노基(amino group) (-NH2)에 의해
⇒ 親核性 攻擊(nucleophilic attack)을 받으면 始作되어,
⇒ 作用基(functional group) RN=CR'R''의 存在로 인해
⇒ "Schiff Bases 쉬프 鹽基"로 알려진 이민(imines)이 形成되고,
⇒ 이는 고리化(cyclize)되어
⇒ 맛과 香이 없는 不安定하고 無色의 物質인 글리코사민(glycosamine)이 形成될 수 있다 (Fig. 5.6)
(Davidek et al. 2008; Nursten 2005). - 마이야르 反應의 段階가 進行됨에 따라,
⇒ 이모늄(Immonium) 이온에서
아마도리 再配列(Amadori rearrangement)이 發生하여
⇒ 아마도리 生成物(Amadori Product)이 形成된다 (Fig. 5.7)
(Li et al. 2014; Nursten 2005). - 아미노케토시스(aminoketosis) (아마도리 生成物)의
⇒ 에놀化(enolization) 및 酸化的 分裂(oxidative cleavage) 後,
⇒ 分子量이 작은 여러 生成物들이 α-dicarbonyl 化合物 (Fig. 5.8)로부터 形成될 수 있다
(Halford et al. 2010; Nursten 2005).



- 나중 段階에서는,
⇒ Amadori 生成物에서 形成된 α-디카르보닐 化合物이
⇒ 아미노산과 反應하여
⇒ α-amino ketones와 Strecker aldehyde를 生成할 수 있는데,
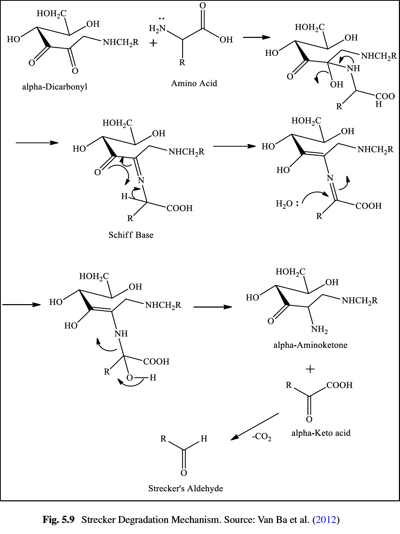
⇒ 마이야르 反應의 이 段階는 스트레커 分解(Strecker Degradation)로 알려져 있다. - 이 段階의 메커니즘은 ➡ Fig. 5.9에 나와 있다.
- α-디카르보닐과 아미노산 間의 反應은
⇒ 初期에 물이 損失되어
⇒ Schiff Base가 形成되고
⇒ 이어서 에놀化(enolization)가 進行된다. - 물 分子의 親核性 攻擊(nucleophilic attack)으로
⇒ α-amino ketone과
α-keto acid의 두 가지 産物이 生成된다. - 후자는
⇒ CO2 分子를 除去하여
⇒ 스트레커 알데히드(Strecker aldehyde)를 形成한다 (Fig. 5.9)
(Nursten 2005; Van Ba et al. 2012). - Α-aminoketones (스트렉커 分解에서 由來)의
自家 縮合(Self-condensation) 및 酸化 反應(oxidation reactions)은
⇒ pyrazines의 形成으로 이어질 수 있으며 (Fig. 5.10)(Nursten 2005),
⇒ 이 化合物은 커피 아로마에 貢獻할 수 있다 (de Maria et al. 1999). - 알킬 置換 피라진(Alkyl substituted pyrazines)은
⇒ 言及된 바와 같이 還元糖(reducing sugars) + amino acids (Maillard)와
⇒ 스트렉 分解의 反應에 의해 커피 로스팅 段階에서 形成된다. - 알킬基 사슬(alkyl group chain)의 位置와 크기에 따라
⇒ pyrazines는 커피 아로마에 다르게 寄與한다. - Figure 5.11은
➡ 커피 揮發性 物質에서 이미 發見된 이 系列에 속하는 化合物의 構造와 센서리 屬性을 보여준다
(de Maria et al. 1999; Lee et al. 2015; Yang et al. 2016).



- Gloess et al. (2018)은
⇒ ion mobility spectrometry-mass spectrometry (IMS-MS)을 통해
⇒ 커피 揮發性 物質의 化學的 組成을 硏究했으며,
⇒ 이를 통해 커피 로스팅 段階를 온라인으로 分析할 수 있었다.
⇒ 化合物들은 양이온 및 음이온 모드로 모니터링되었으며,
⇒ 양성 모드에서 알킬피라진 異性質體들 (alkylpyrazine isomers)이
로스팅 時間과 强度에 따라 다른 프로필을 보였다.
⇒ 또 다른 硏究에서 로스팅된 커피(아라비아 및 로부스타)에서 알킬피라진(alkylpyrazines)이 發見되었으며,
⇒ 主要 構成 成分은 2-methylpyrazine (커피콩 100g당 2000μg)이었다.
⇒ 커피의 로스팅 段階를 모니터링하는데 使用할 수 있다. - 피라진은
⇒ 일반적으로 아라비카 커피보다 로부스타 커피 揮發性 物質에서 더 높은 濃度로 發見된다
(Hashim and Chaveron 1995). - Ground-negative pyrazines가
⇒ 로부스타 커피에서 더 높은 것으로 나타났는데,
⇒ 이것이 이 커피 飮料가 아라비카 커피보다 덜 評價받는 理由 중 하나일 수 있다 (Toledo et al. 2016). - 피라진 외에도, 마이야르 反應에 의한 커피 로스팅 중에
⇒ furans, pyrroles, pyridines, thiazoles, imidazoles, aldehydes 그리고 ketones와 같은
다양한 種類의 化合物이 生成된다. - 有益한 抗酸化 活性을 가진 物質들이 生成되지만,
⇒ 營養素 損失과
⇒ 5-hydroxymethylfurfural (5-HMF) 및 反應性 種들과 같은 毒性 物質들도 生成된다.
- Furans는 ⇒ 糖類의 캐러멜化로 인해 로스팅 段階에서 얻을 수 있다.
- Figure 5.12는
커피 揮發性 物質들에서 이미 發見된 이 系列에 속하는 化合物들의 構造와 센서리 屬性을 보여준다
(de Maria et al. 1999; Lee et al. 2015; Yang et al. 2016). - 푸란(Furans)와 피란(pyrans)은
⇒ 로스팅된 커피에서 大量으로 發見되는 헤테로고리 化合物(heterocyclic compounds)이며,
⇒ 알데히드, 케톤, 에스테르, 알코올, 에테르, 酸 및 티올과 같은 技能을 包含한다. - 定量的으로, 첫 두 部類의 커피 揮發性 物質은 furans와 pyrazines이고,
質的으로 黃-含有 化合物들은 pyrazines와 함께
⇒ 커피 플레이버에 가장 중요한 것으로 간주된다 (Czerny et al. 1999). - 약 100개의 furans가 焙煎 커피에서 發見되었으며,
⇒ 주로 커피 配糖體들의 分解에서 發生하며 맥아(malt)와 스위트(sweet) 냄새가 특징이다
(Sunarharum et al. 2014; de Maria et al. 1999). - 焙煎 커피에서 푸란 形成의 潛在的 前驅體는
⇒ 다음과 같으며: 蔗糖, 葡萄糖, 리놀레酸(linoleic acid) 및 리놀렌酸(linolenic acid),
⇒ 이러한 化合物들은 生豆에서 상당량 發見된다 (Mesias and Morales 2015).

- 커피콩을 낮은 溫度와 긴 時間, 특히 140°C와 20분 동안 로스팅하는 동안 時間과 溫度의 影響에 대한 硏究에서 最終 푸란 含量이 減少했다 (Altaki et al. 2011).
- 푸란이
⇒ 브라질에서 生産된 아라비카 커피 生豆와 로부스타 커피 生豆에서,
로스터에서 다양한 程度(light, medium, dark)로 分析되었다.
⇒ 커피 生豆들에서는 푸란이 檢出되지 않았지만,
⇒ 焙煎 커피에서는 911 및 5852 μg/kg의 含量이 發見되었고,
⇒ 가장 높은 푸란 濃度는 더 다크한 로부스타 커피에서 發見되었다 (Arisseto et al. 2011). - 2-methylfuran, 3-methylfuran, 2,3-dimethylfuran 그리고 2,5-dimethylfuran 등
푸란 派生物들의 濃度가 다른 것으로 밝혀진 커피 抽出 方法(필터, 전자동, 캡슐 머신 및 인스턴트 커피)를 사용하여
푸란 含量을 檢査한 結果, 상당한 差異가 있는 것으로 나타났다.
⇒ 인스턴트 커피에서는 檢出可能한 水準의 푸란이 發見되지 않았지만,
⇒ 전자동 머신에서 얻은 커피는 위에서 言及한 다섯 가지 푸란 중 가장 높은 濃度를 나타냈다.
⇒ 커피가 식으면서 푸란 濃度가 상당히 減少했으며,
⇒ 세라믹 컵에서 커피가 55~60°C 범위의 溫度에 到達했을 때 平均 8.0~17.2% 減少했다
(Rahn and Yeretzian 2019). - 푸라논(furanone) 系列에 속하는 푸라네올(Furaneol)은
⇒ 볶은 커피에 캐러멜과 달콤한 아로마가 있지만,
⇒ 딸기와 파인애플 鄕味가 나기 때문에 香料 産業에서 使用된다.
⇒ 그 形成은 Maillard reaction 또는
non-enzymatic browning을 통해 發生한다 (Schwab 2013). - 푸란-2-일메탄티올(Furan-2-ylmethanethiol)은
⇒ 볶고 갈아서 만든 커피의 특징적인 냄새가 나기 때문에 揮發性 커피의 重要한 成分이다.
⇒ 이 化合物은 빵, 참깨, 肉類와 같은 여러 熱處理 食品에서 確認되었다 (Schoenauer and Schieberle 2018). - 피롤 고리(pyrrol ring)에 부착된 푸란은
⇒ Fig. 5.13에서 볼 수 있듯이
⇒ old, green, hay와 같은 원치 않는 커피 냄새가 날 수 있다. - 피롤(Pyrroles)은
⇒ Maillard reaction과 Streck degradation 중에 形成되며, furans와 密接한 關聯이 있다.
⇒ 일부 피롤은
焙煎 커피에 쾌적하고 바람직한 香(pleasant and desirable aromas)을 더할 수 있고,
⇒ 알킬피롤(alkylpyrroles)과 아세틸피롤(acetylpyrroles)과 같은 다른 피롤들은
否定的인 냄새가 나는 것으로 여겨졌다 (Amanpour and Selli 2016). - 1-Methylpyrrol은
⇒ 否定的인 點數 化合物의 한 예이며 缺點豆들에서 發見되었다 (Ribeiro et al. 2012).

- 트리고넬린(trigonelline)의 分解는
┌ 피리딘(pyridine)과
└ 니코틴酸(nicotinic acid)의 形成으로 이어질 수 있다. - 로스팅 段階의 始作 部分에서 高濃度의 피리딘이 發見된다 (Baggenstoss et al. 2008; Caporaso et al. 2018).
- 니코틴酸은
⇒ 로스팅 段階 동안 트리고넬린에서 形成되며(Fig. 5.14),
⇒ 니코틴酸 含量은 로스팅 유형에 따라 달라진다. - 피리딘(Pyridines)은
⇒ 로스팅된 커피에 存在하는 物質이며,
⇒ 이 物質은
┌ 트리고넬린의 熱分解,
├ 아미노산의 熱分解,
├ “Strecker”의 分解 또는
└ "Maillard" 反應을 통해서도 生成될 수 있다. - 피리딘은
⇒ 오래된 볶은 커피의 불쾌한 냄새를 담당하는 것으로 여겨질 수 있고, - 2-methylpyridine은
⇒ 헤이즐넛과 類似한 astringent sensation의 원인이며, - 2,3-dimethylpyridine은
⇒ 고무(rubbery) 냄새와 타는 냄새(burnt-related odor)를 유발한다 (de Maria et al. 1999). - 2-acetylpyridine 物質은
⇒ 옥수수와 팝콘 냄새가 날 수 있지만,
⇒ 볶은 커피의 기름기(greasy), 먼지(dusty), 견과류 노트(nutty notes)와 聯關될 수도 있다
(Amanpour and Selli 2016).

- 볶은 커피에서 揮發性 페놀 化合物(phenolic compounds)이
⇒ 形成되는 主要 徑路는 클로로겐酸에서 유래된 遊離페놀酸(free phenolic acids)의 分解다.
⇒ 이들은
p-coumaric acid,
ferulic acid,
caffeic acid와 같은 化學物質이며,
⇒ 커피 生豆에서 遊離페놀들의 含量은 적다. - 로스팅 동안
⇒ 페놀 化合物의 含量이 增加하고
⇒ 이러한 化合物의 形成은 클로로겐酸의 分解와 直接的으로 關聯이 있다 (Fig. 5.15). - 대부분의 볶은 커피에서 發見되는 페놀들은
⇒ 4-vinyl guaiacol (볶은 커피 1kg당 8~20 mg),
⇒ guaiacol (2~3 mg/kg) 및
⇒ phenol (1.2~2.2 mg/kg)이며,
⇒ 이 세 가지 成分 외에도
cresol isomers (크레졸 異性質體)(o-, m-, p-)도 主要 焙煎커피 페놀 그룹에 속한다 (Moreira et al. 2000). - Arruda et al. (2012)에 따르면,
⇒ 워시드 프로세싱에서 揮發性 페놀性 物質 含量이 가장 높았고,
⇒ 그 다음이 fully washed 프로세싱이었다.
⇒ 내추럴 페놀은 볶은 커피에서 發見되는 主要 化合物 중 세번째였다 (平均 9%).
⇒ 하이라이트는
┌ 2-methoxy-4-vinylphenol (vanillin)과
└ 4-ethyl-2-methoxyphenol phenols이었다. - 과이아콜(Guaiacols)은
⇒ 볶은 커피 플레이버의 主要 페놀 代表物質로,
┌ 페룰酸 殘留物(ferulic acid residues),
├ 리그닌 構造 破壞(disruption of lignin structure) 또는
└ 클로로겐酸 脫炭酸化(decarboxylation of chlorogenic acids)로 形成되며,
이미 언급된 바와 같다 (Arruda et al. 2012).

- 다른 종류의 化合物은 볶은 커피 揮發性 物質의 少量에서 發見되지만, 飮料의 아로마에도 寄與한다.
- 예를 들어,
┌ 糖 破片化(sugar fragmentation),
├ 脂肪酸 分解(fatty acid degradation ) 또는
└ 클로로겐酸(酸性) 分解(chlorogenic acid (acidic) degradation)로 形成된
⇒ 카르복실酸(carboxylic acids)이다. - 이미 언급한 바와 같이,
⇒ Maillard reaction과 Streck degradation에 의해 形成되는
알데히드(Aldehydes) 및 푸란(푸르푸랄) 알데히드(furan (furfural) aldehyde), 뿐만 아니라
⇒ 카로티노이드의 酸化(oxidation of carotenoids)에 의해 생기는
α-dicetones, β-damascenone, 그리고
⇒ 마이야르 反應, 스트레커 分解 및 中間 分解産物들 間의 相互作用들에서 生成되는
還元糖 및 中間體 糖들과
⇒ 퍼진 아미노산(cysteine, cystine and methionine)과의 反應들로부터 나오는
黃 化合物들도 있다 (Uekane et al. 2013).
- Fig. 5.16
➡ 볶은 커피 揮發性 物質들에서 검출된 이런 류의 化合物들의 構造와 센서리 屬性이 提示되어 있다. - 그린 커피 生豆에는
⇒ 커피에 불쾌한 냄새와 맛을 줄 수 있는
⇒ ┌ 알데히드들(aldehydes)과
└ 短鎖 脂肪酸들(short chain fatty acids)이 包含되어 있을 수 있다. - 아세트酸(Acetic acid)은 ⇒ 불쾌(unpleasant)하고 신랄한 냄새(pungent odor)가 나고,
- 프로판酸(propanoic acid)은 ⇒ 버터(butter)나 신맛 나는 우유 냄새(sour milk odor)가 나고,
- 부탄酸(butanoic acid)은 ⇒ 썩은 버터 냄새(rancid butter odor)가 나고,
- 펜탄酸(pentanoic acid)은 ⇒ 불쾌한 과일 香(unpleasant fruity aroma)이 나고,
- 헥사데칸酸(hexadecanoic),
헵타데칸酸(heptadecanoic),
오카데칸酸(ocadecanoic acids)은 ⇒ 썩은 냄새(rancid odor)가 난다
(Flament and Bessière-Thomas 2002; Garg 2016). - 볶은 커피에서 短鎖 酸들(short chain acids)은
⇒ 치즈, 식초, 발 냄새가 날 수 있으며,
⇒ 濃度가 낮으면 飮料의 香이나 냄새에 影響을 미치지 않는다 (Moreira and Trugo 2020). - 헥사날(Hexanal)은 ⇒ 커피에 酸敗한 맛(rancid taste)을 줄 수 있으며,
- 커피에 풍부한 리놀레酸(linoleic acid)과 같은
⇒ 多重不飽和 脂肪酸(polyunsaturated fatty acids)의 酸化에서 由來된 다른 알데히드들도 있다. - 이 化合物은
⇒ 酸化的 大氣(oxidizing atmospheres)에서 保管된 커피에서 幾何級數的으로 增加했으며, 그리고
⇒ 헥사날(hexanal)은 커피 保管을 위한 마커 化合物로 提案되었다 (Makri et al. 2011). - Fig. 5.16
➡ 焙煎커피 內의 여러 系列 化合物들과
(카르복실酸, 알데히드, 알파-디세톤, 베타-不飽和 케톤, 黃-化合物들) 그들의 센서리 屬性들

- 커피 飮料에서의 푸르푸랄(furfural) 濃度는 ⇒ 커피 마련 方法에 따라 달라지는데,
- Chaichia et al. (2015)은
⇒ 끓이는 方法으로 抽出한 後와 인스턴트 커피로 마련한 경우가 푸르푸랄 含量이 더 낮다는 것을 發見했지만,
⇒ 에스프레소 抽出 後의 濃度는 더 높은 것으로 나타났다. - Β-다마스케논(β-damascenone)은
⇒ 볶은 로부스타 및 아라비카 커피에서 茶, 꽃, 과일 香을 내지만,
⇒ 물에의 可溶性이 낮아 飮料의 風味에 影響을 미치지 않을 수 있다 (do Nascimento et al. 2007). - 高品質 커피에 필요한 揮發性 物質 프로필을 찾기 위해 여러 硏究가 遂行되었으며,
가장 많이 硏究된 事項 중 하나는 아라비카와 로부스타 커피의 化學的 組成과 관련된 센서리 差別化이다.
3 Volatile Compounds of
Arabica and Robusta Coffee
- 아라비카 커피와 로부스타 커피의 品質에 대한 最近의 論議는 國際市場을 觸發시켰는데, 특히 生命工學的 工程을 통해 커피의 最終 品質을 最適化하는 硏究와 關聯이 있다.
- 이러한 觀点에서, 로부스타 커피는 ⇒ 피라진類(pyrazines)의 濃度가 더 높다.
⇒ 예를 들어
⇒ pyrazine, ethylpyrazine, 2- and 3-ethyl-2,5-dimethylpyrazine, 1-methylpyrazine,
2,6-dimethylpyrazine, 2,5-dimethylpyrazine이 있다. - 반면 푸르푸랄 化合物인
⇒ 1-(acetyloxy)-2-propanone, 2-acetylfuran, ethyl-6-methylpyrazine propanoate,
2-ethyl-5-methylpyrazine, furaneol, 2,3-butanediol, acetoin 그리고
1- hydroxy-2-butanone이
⇒ 아라비카 커피에서 더 높은 含量으로 發見된다. - 따라서 글로벌 産業에서 널리 사용되는 두 材料의 揮發性 物質 組成을 理解하는 것은
커피의 最終 品質을 理解하는데 매우 重要하다. - 아라비카는
⇒ 로부스타 커피보다
⇒ 3-methylbutanal, 2,3-butanedione 그리고 2,3-pentanedione 濃度가 더 높고, - 로부스타는
⇒ phenols의 레벨이 더 높을 수 있다 (Caporaso et al. 2018).
- 일부 揮發性 成分들이 아라비카 커피와 로부스타 커피를 區別하는데 使用될 수 있다.
- Hovell et al. (2010)은
⇒ 이러한 커피를 區別하기 위해 文獻에 이미 報告된
⇒ 세 가지 페놀(4-ethyl-2-methoxy-phenol, 2-methoxy-phenol, 2-methoxy-4-vinylphenol) 水準과,
다른 硏究에서 發見된 네 가지 푸란들
(2-acetylfuran, furfuryl acetate, 2-furancarboxaldehyde and 5-methyl-2-furfural),
terpene alcohol (trans-linalool oxide),
芳香族 化合物(4-ethenyl-1,2-dimethoxybenzene),
pyridine 그리고
脂肪酸(hexadecenoic acid)에서의 差異를 觀察했다. - Colzi et al. (2017)에 따르면
⇒ 아라비카 커피에서 주로
⇒ 2-acetylfuran, furfuryl alcohol, furfuryl acetate, furan and 2(5H)-furanone,
acetaldehyde and 2-methylbutanoic acid가
로부스타보다 더 많이 發見되었으며,
⇒ 이들은 모두 다음과 같은 바람직한 플레이버를 發生시킨다:
sweet fruit, malted, roasted and caramel sweets의 노트들.
⇒ 로부스타 커피에서 가장 높은 含量을 가진 化合物은 다음과 같다 :
⇒ 1-methylpyrazine, 2-ethenyl-6-methyl-pyrazine, guaiacol, 그리고
硫黃 含有 化合物(methylthiazole, methanethiol and thiazole).
⇒ 이러한 化合物은 earth, green, 그리고 Walnuts의 感覺的 노트를 가진다. - 이처럼, 아라비카와 로부스타 커피의 揮發性 프로필에서 큰 差異가 發見되었으며,
🟩 C. arabica에서는 ➡ sweet-roasty and caramel-like 屬性들이 優勢했고
🟧 C. canephora에서는 ➡ earthy-roasty and spicy 屬性이 優勢했다.
- 아라비카와 로부스타 커피의 混合物에 대한 揮發性 物質을 決定한 結果,
⇒ 아라비카 커피가 80% 包含된 샘플에서
⇒ alkanes, alkenes, aldehydes, alcohols, acids, ketones, esters, furans,
lactones, oxazoles, pyrroles, pyrazines, pyridines, pyranones,
thiazoles, thiophenes, sulfur compounds, phenolic compounds,
benzene compounds and terpenes와 같은 다양한 部類의 化合物들이 더 많이 發見되었다.
⇒ 로부스타 커피가 80% 包含된 샘플에서는
⇒ 黃 化合物들(sulfur compounds)이 더 많이 發見되었다 (Sanz et al. 2002). - Torrefacto 커피로 알려진 슈가 로스트 커피는
⇒ 스페인, 프랑스, 포르투갈과 같은 유럽 國家에서 消費되는데,
⇒ 앞서 言及한 다른 블렌드와 比較하는데 使用되었다.
⇒ 샘플 A20: R80 50% Torrefacto에서
더 높은 alkanes, alcohols, ketones, furans, phenolic compounds,
pyridines, pyrazines, pyranones and terpenes가 發見되었으며,
⇒ 이는 80% 내추럴 로스트된 로부스타를 含有한 샘플과 比較한 것이다
(Sanz et al. 2002). - Kalschne et al. (2018)은
⇒ 缺陷이 있는 C. canephora 콩들에 蒸氣 處置를 遂行하여 커피의 센서리 品質을 改善하고,
⇒ 이 蒸發 커피를 使用해 C. arabica 블렌드를 製造하여 揮發性 프로필을 確認했다.
⇒ 이 蒸氣 處置 後 揮發性 物質 組成에 變化가 있었고, 저자들은
⇒ benzyl alcohol, acetoin, maltol, 2-furfurylthiol, 5-methylfurfural 그리고
2,6-dimethylpyrazine와 같은 일부 成分들이 增加했음을 發見했다.
⇒ Isovaleric acid, 4-ethylguaiacol, 3-diethyl-5-methylpyrazine,
3-methoxy-3-methylpyrazine, methional 그리고 2,3-diethyl-5-methylpyrazine와 같은
다른 化合物의 含量이 減少했다.
⇒ 최대 30%의 蒸氣 處置된 로부스타 커피 (5 bar/16분) + 70%의 消費者 受容可能 아라비카 커피 블렌드를
얻을 수 있다. - 이러한 論據에서, 아라비카 커피와 로부스타 커피 生豆 間의 플레이버 差異를 줄이기 위해
아세트酸(acetic acid)으로 前處理하고, 處理 前後의 커피 샘플을 分析했다.
⇒ 前處理를 거친 로부스타 커피는
⇒ pyrazines, furans 그리고 sulfur compounds 水準이 바뀌었으며,
⇒ 센서리 分析 後 2% 아세트酸으로 前處理한 로부스타 커피 飮料는
아라비카 커피와 類似한 香이 나는 것으로 確認되었다 (Liu et al. 2019). - 로부스타 커피의 感覺的 受容性을 改善하기 위한 또 다른 處理 方法은
⇒ 로부스타 커피 빈에 果糖, 葡萄糖, 蔗糖을 含有한 다양한 溶液을
0, 3, 6, 9, 12, 15g/100g의 濃度로 添加하여
100°C에서 30분간 2bar 壓力과 1rpm 回轉으로 蒸氣 레토르트를 사용하여
각각 4회 反復하는 方式으로 遂行했다.
⇒ 處理 後
pyrazines, furans, ketones, nitrogenous compounds (窒素化合物) 그리고
organic acid (有機酸)의 水準이 변하면서
揮發性 成分에 상당한 影響이 있는 것으로 觀察되었다 (p < 0.05). - 가장 有望한 處理 方法은
⇒ 果糖 15g/100g으로, 이 경우 아라비카와 混合했을 때 處理한 로부스타의 80%는
100% 아라비카 커피와 比較했을 때
香에 상당한 差異가 없었다.
⇒ 또한, 로부스타로 처리한 과일 커피는
6주간의 貯藏 期間 동안 아라비카 커피보다 뛰어난 香 安定性을 나타냈다 (Liu et al. 2019). - 최근 몇 년 동안, 특히 커피와 같은 食品 品質의 前驅體를 理解하기 위한 分析 技術의 導入을 통해 科學 分野에서 상당한 進展이 이루어졌다.
- 아라비카 커피와 로부스타 커피의 揮發性 化合物 構造의 差異點은 明確하고 客觀的으로 說明되었다.
- 다가올 수십 년 동안의 科學的 進步는 두 遺傳的 매트릭스에 더욱 특별한 等級과 屬性을 賦與할 수 있는 프로세스를 最適化하기 위한 措置와 確實히 關聯이 있을 것이다.
- 다음 섹션에서는 커피의 生理活性 化合物을 紹介하고 人體 健康에 미치는 利點에 대해 다룬다.
4 Bioactive Coffee Constituents
- 커피에는 chlorogenic acid, trigonelline 그리고 caffeine과 같은 人間의 健康에 效益이 있는 生理活性 化合物들이 있다 (de Oliveira Fassio et al. 2016).
- 클로로겐酸 (Chlorogenic acids)은
⇒ 抗酸化力(antioxidant activity)으로서의 生理的 및 藥理的 機能을 發揮하는 것에 더하여,
⇒ 커피 飮料를 특징적으로 만드는 플레이버와 아로마에도 寄與하여 注目받는다.
⇒ 클로로겐산류는 로스팅 段階 동안에 分解되어,
caffeic acid, 락톤(lactones), 그리고
마이야르 反應 및 스트레커 反應을 통한 다양한 페놀들과 같은 化合物을 生成하여,
더 큰 쓴맛(bitterness), 떫은맛(astringency) 그리고 아로마를 招來한다 (Ayelign and Sabally 2013). - 클로로겐酸(CGAs)은
┌ trans-cinnamic acid (caffeic, ferulic 또는 p-coumaric acid)과
└ quinic acid 간의 ---→ 에스테르化 反應(esterification reaction)에서 派生되는 化合物이다 (Fig. 5.17). - 이 클로로겐酸들은
⇒ 붉은 과일, 사과에 存在할 수 있으며,
⇒ 커피콩에서 가장 많이 發見된다. - 로스팅 段階에서 클로로겐酸은
⇒ 페놀 化合物(phenolic compounds)을 形成하여, 위에서 언급한 바와 같이
⇒ 커피에 아로마와 플레이버를 줄 수 있으며,
⇒ 糖, 아미노산 및 脂肪酸의 派生物들과 함께 作用한다 (Monteiro and Trugo 2005; Oliveira and Bastos 2011).

- 클로로겐酸類는
⇒ 커피에 存在하는 主要 폴리페놀로,
⇒ 그린 커피 生豆의 乾燥 質量 對比 12~18%까지 다양할 수 있다. - 커피에서 發見되는 主要 클로로겐酸의 構造는 Fig. 5.18에 나와 있으며,
- 이 化合物은 세 그룹으로 나눌 수 있다.
- 커피에서 가장 豊富한 CQAs (caffeoylquinic acids)는
┌ 5-O-caffeoylquinic acid (5-CQA),
├ FQA (feruloylquinic acids) 및
└ di-CQA(dicaffeoylquinic acids)이다 (Clifford and Knight 2004; Ciaramelli et al. 2018). - 로스팅을 통해 클로로겐酸은
⇒ 몰당 含量이 낮은 化合物(락톤 및 페놀 誘導體)로 分解될 수 있으며,
⇒ 加水分解되거나 異性質化되어
⇒ 最終 製品의 香과 맛에 크게 寄與하며,
⇒ 제품 飮料의 astringency의 原因이 된다 (Farah and Donangelo 2006). - 커피 生豆에서
┌ 아라비카 커피의 경우 3.44~5.61%,
└ 로부스타 커피의 경우 4.42~6.47%의 5-CQA 水準이 發見되었고,
中間 로스팅 후, 이 같은 클로로겐酸의 값은
⇒ 아라비카와 코닐론 커피의 경우 각각 0.70%와 1.43%였다 (Toci et al.2006). - 클로로겐酸은
⇒ 植物의 2차 代謝에서 由來하는 페놀性 化合物(phenolic compounds)로 分類되며,
⇒ 그 形成은 環境 要因과 스트레스 條件에 의해 影響을 받을 수 있다 (Farah and Donangelo 2006). - 이러한 폴리페놀들(polyphenols)은
┌ 神經 保護, 神經系 刺戟, 抗酸化, 抗菌, 抗바이러스,
└ 解熱, 心臟 保護, 抗肥滿, 抗高血壓 및 肝 保護와
→ 같은 중요한 生理活性力과 治療的 效能을 가지고 있다
(Kwon et al. 2010; Tajik et al. 2017; Naveed et al. 2018).

- 트리고넬린(Trigonelline)은
⇒ N-methyl betaine (Fig. 5.19)에 해당하며,
⇒ 아라비카 커피와 로부스타 커피 生豆에 각각
0.6~1.3%와 0.3~0.9% 範圍로 存在할 수 있다 (Macrae 1985). - 이 物質은
⇒ 로스팅하는 동안 탈메틸화(demethylation)를 거치며
⇒ 비타민 B3, 비타민 PP 또는 니코틴산(nicotinic acid)이라고도 하는 니아신(niacin)의 形成을 招來한다
(Trugo 2003). - Vitamin B3는
⇒ 細胞 健康을 維持하고 DNA를 保護하는데 있어 人間에게 重要하며,
⇒ 콜레스테롤 數値를 낮추고 糖尿病을 調節하는데 도움이 되며,
⇒ 白內障(cataracts), 粥狀硬化症(cataracts), 알츠하이머와 같은 疾病을 豫防할 수 있다. - 니아신(niacin) 缺乏은
⇒ 피부 어두워짐, 심한 설사, 치매(dementia)를 誘發하는
심각한 疾患인 펠라그라(pellagra)의 發病을 誘發할 수 있다 (Zhou et al. 2012; Garg 2016).

- 트리고넬린(trigonelline)은
⇒ 니아신 形成 이외에도 로스팅 過程 중에,
⇒ 피리딘(pyridines)과 피롤(pyrroles)과 같은 揮發性 成分들의 形成을 招來할 수 있으며,
⇒ 이 成分들은 그 飮料의 最終 아로마에 貢獻한다 (Trugo 1984; Monteiro and Trugo 2005). - 볶은 커피의 트리고넬린 含量은
⇒ 볶는 段階에 따라 달라지며,
⇒ 볶는 程度가 심할수록 飮料에서 發見되는 트리고넬린 含量은 낮아진다.
⇒ 商業用 커피 샘플에서 트리고넬린 含量은 → 볶은 커피 100g-1당 0.2~0.5g 範圍로 發見되었다
(Monteiro and Trugo 2005).
⇒ 볶은 커피의 트리고넬린 濃度가 낮음에도 불구하고,
일부 硏究에서는 더 좋은 品質의 커피가 트리고넬린 含量이 더 높은 것으로 觀察되었다
(Farah and Donangelo 2006; Alves et al. 2007). - 트리고넬린은
⇒ 카페인에 비해 毒性이 낮으며
⇒ 주로 中樞神經系, 膽汁 分泌 및 腸에 作用한다 (Saldaña et al. 1997). - 알려진 플레이버 前驅體들 중 트리고넬린은
⇒ 커피 로스팅 後에 나타나며
⇒ pyridine, alkyl pyridines, furans (Ky et al. 2001; Campa et al. 2004)과 같은
플레이버 形成을 담당한다. - Clifford and Willson (1985)에 따르면, 트리고넬린은
⇒ 커피 飮料에 存在하는 쓴맛에 寄與하지 않는다. - Alves et al. (2007)은
⇒ 트리고넬린의 變差가 크고 로스팅 중 安定性이 不足하기 때문에,
⇒ pyrazines, pyridines 및 誘導體로 인한 쓴맛과 아로마 化合物 形成에 寄與한다고 理解한다.

- 카페인(Caffeine)(Fig. 5.20)은
⇒ 다양한 飮料(茶, 커피, 소다 등)에 存在하는 알칼로이드(alkaloid)로,
⇒ 人體에 주로 中樞神經系의 刺戟劑이자 利尿劑로 作用한다. - 카페인은
⇒ 細胞質에서 클로로겐酸칼륨(potassium chlorogenate)으로 복잡하게 遊離되어 있으며,
⇒ 이는 溶解性이 낮아 組織 間에 어느 정도 移動한다
(Macrae 1985; Farah and Donangelo 2006; McLellan et al. 2016). - 카페인의 人體 內 主要作用은
⇒ 利尿 作用(diuretic property)이 特徵이다.
⇒ 또한 中樞神經系를 刺戟하고,
⇒ 循環筋系(circular muscular system), 특히 心臟 筋肉에 作用한다.
⇒ 少量으로 攝取하면 疲勞를 줄여준다 (Saldaña et al. 1997). - C. canephora에서 發見되는 平均 카페인 含量은
⇒ 약 2.20%로,
⇒ 平均 1.20%를 含有한 C. arabica의 두 배에 가깝다 (Martinez et al. 2014). - 카페인은
⇒ 로스팅 段階에서 매우 安定的이지만,
⇒ 無臭 物質이고 쓴맛이 있으며
⇒ 커피 飮料의 이 感覺的 特性에 寄與할 수 있다(Monteiro and Trugo 2005). - 다양한 化合物 중에서 蔗糖(sucrose), 카페인(caffeine), 트리고넬린(trigonelline)은
遺傳的으로 制御되는 것으로 알려져 있다 (Scholz et al. 2013). - 카페인, 칼륨, 페놀을 포함한 커피의 여러 成分이
⇒ 體重 增加 減少에 관련이 되지만,
⇒ 原因 物質과 作用 메커니즘은 명확하게 確認되지 않았다 (Shin et al. 2010; Ludwig et al. 2014). - 이러한 觀点에서
클로로겐酸(CGA), 카페인, 트리고넬린은
人間에게 肯定的인 生物學的 效果를 미칠 수 있다는 점에서 硏究 對象이 되었다 (Duarte et al. 2010). - Flores et al. (2000)에 따르면,
⇒ 최근 疫學 硏究들에서는 적당한 量의 一日 커피 攝取가
成人의 肝硬化(cirrhosis) 및 自殺(suicide) 發生率 減少와
파킨슨병 (Parkinson’s disease) 發生率의 현저한 減少와 關聯이 있을 수 있다는 것을 發見했다.
5 Coffee Acidity and Its Impact on Quality
- 센서리 分析에서 커피 애씨더티(acidity, 산도)는 매우 重要한 屬性이다.
- 品質 側面에서 애씨더티의 增加는
더 낮은 品質에(Lima Filho et al. 2013) 또는
더 높은 品質에(Agnoletti 2015) 聯關될 수 있다. - 과일 香과, 약간의 아몬드 香을 아우르는 아로마틱 노트가 相互作用하는 均衡 잡힌 애씨더티는
⇒ 종종 좋은 커피의 重要한 特徵으로 간주된다 (Gloess et al. 2018). - 커피의 애씨더티는 여러 科學的 論難의 對象이 되었다.
- Mazzafera (1999)에 따르면,
品質이 낮은 커피는 주로 해로운 醱酵로 인해 높은 酸度와 關聯이 있다 (Chemical composition of defective coffee beans. Food Chemistry, 64, 547–554). - Franca et al. (2005)은
酸度가 增加하면 커피 品質이 減少하는 傾向이 있다고 提示한다. - Muschler (2001)는
쉐이딩이 아라비카 커피의 酸度와 蔗糖 含量을 增加시켰으며,
둘 다 센서리 評價의 重要 成分으로, 더 좋은 커피를 生成한다고 보여주었다. - Bosselmann et al. (2009)의 硏究 結果는
아라비카 커피의 쉐이딩 範圍가 酸度, 바디 및 단맛에 否定的인 影響을 미친다는 점을 指摘한다. - 커피의 水溶液 抽出物(aqueous extract)의 pH는
⇒ 水素이온濃度로 決定되는 知覺되는 酸度(perceived acidity)를 규정하는데 사용되며,
⇒ 이는 酸性 水溶液 또는 酸 混合物에 存在하는 특정 酸의 이온化 또는 解離 程度와 關聯이 있다. - 커피에서,
┌ 枸櫞酸(citric acid),
├ 沙果酸(malic acid),
├ 옥살酸(oxalic acid),
├ 酒石酸(tartaric acid) 및
└ 피루브酸(pyruvic acid) (Fig. 5.21)과 같은 非揮發性 有機酸을 찾을 수 있다
(Woodman 1985; Jham et al. 2002). - ┌ 아세트酸(acetic acid, 醋酸),
├ 프로피온酸(propionic acid),
├ 부티르酸(butyric acid) 및
└ 펜탄酸 (pentanoic acid) (valeric acid 발레르酸)과 같은 揮發性 酸類도 커피에 存在할 수 있으며 (Fig. 5.21), - 이러한 酸들은
⇒ 內因性 徑路 및/또는
⇒ 바람직하지 않은 醱酵를 통해 生成될 수 있다 (Martinez et al. 2014).

- Sivetz & Desrosier (1979)에 따르면,
⇒ pH 變化는 消費者가 製品을 受容하는데 매우 重要하며,
⇒ 著者는 커피를 맛있게 만들기 위한 理想的인 pH는 → 4.95~5.20이라고 한다. - 또한 애씨더티는
⇒ 收穫 前 또는 收穫 後 원치 않는 醱酵로 인해
⇒ 커피 콩들이 변하거나 劣化될 수 있음을 나타내며,
⇒ 불쾌한 맛을 지닌 바람직하지 않은 化合物이 生成되어
⇒ pH가 減少하고 飮料 品質이 低下된다 (de Siqueira and de Abreu 2006). - Carvalho et al. (1994)은
⇒ 애씨더티가 增加함에 따라
⇒ strictly soft, soft, only soft, hard, riada and rio로 분류된 커피를 評價할 때
品質이 低下되는 것을 觀察했다. - 또 다른 硏究에서는,
⇒ 더 나은 品質의 커피와 比較했을 때
⇒ rio 커피의 酸度가 더 높다는 것을 發見했다 (Pinto et al. 2001). - 그러나 Pádua et al. (2001)은
⇒ soft drink coffee와 rio drink의 酸度를 評價할 때 有意味한 差異를 觀察하지 못했으며,
⇒ hard drink coffee와 robusta coffee 샘플에 대한 差異만 確認했다. - 내추럴 커피빈으로 만든 에스프레소 飮料의 pH 값 = 5.25이고,
껍질 벗긴(husked) 커피빈의 pH = 5.31로 統計的으로 같은 값(p > 0.05)이었다. - 아라비카와 로부스타 커피의 블렌드에서는
conilon 濃度가 增加함에 따라, 블렌드의 pH가 增加하는 것으로 觀察되었다.
아라비카 커피는 로부스타 커피보다 산도가 높기 때문이다 (Lima Filho et al. 2015). - 일부 어떤 酸들의 化學的 組成과 含量은 飮料의 맛에 影響을 미칠 수 있으며, 이는 문제를 더 복잡하게 만들고 의문으로 둘러싸여 있다.
- Martinez et al. (2014)에 따르면
⇒ 枸櫞酸(citric acid)과 沙果酸(malic acid)에서 發生하는 애씨더티는
커피 品質에 바람직한 애씨더티를 부여하는 반면,
⇒ 아세트酸(acetic acid), 젖酸(lactic acid), 프로피온酸(propionic acid) 및 부티르酸(butyric acid)으로부터
發生하는 酸度는 커피 品質에 바람직하지 않은 影響을 미친다. - 아라비카 커피는 로부스타 커피에 비해 飮料의 애씨더티 特性으로 인해 더 價値가 있고 認定받고 있다.
- Rogers et al. (1999)는
⇒ 아라비카 커피에서 로부스타 커피보다
⇒ 枸櫞酸(citric acid)과 沙果酸(malic acid) 濃度가 더 높다는 것을 發見했다.
6 Environmental and Processing Influence
on Chemical Composition of Coffee
- 커피 品質에 影響을 줄 수 있는 要因 중 하나는 栽培 場所이다.
- 더 높은 高度에서 커피나무는
⇒ 잎과 열매에 光同化産物(photoassimilates)이 더 많이 蓄積될 수 있다 (Laviola et al. 2007). - 高度(Altitude)는
⇒ 氣溫(temperature)과 降水量(rainfall)에 影響을 미친다;
⇒ 高度 180m마다 氣溫이 약 1°C씩 떨어지고 이 地域은 降水量이 더 많다 (Fritzsons et al. 2008). - 高-高度 地域에서 栽培되는 커피는
⇒ 成熟이 더디므로 빈에 糖이 더 많이 蓄積될 수 있다. - 최근 Zaidan et al. (2017)은
⇒ 高度(範圍 600~1200m),
⇒ 山 傾斜 方向(slope orientation) 및
⇒ Coffea arabica 品種('red catuaí' 및 'yellow catuaí')의 影響을 評價했다.
⇒ 샘플들에 대한 센서리 分析을 遂行했고,
⇒ 環境要因과 品種이 해당 地域의 커피 品質에 影響을 미쳤다. - 또 다른 硏究에서는
⇒ 作物 露出 斜面(crop exposure slopes) (북쪽과 남쪽)를 고려하여
⇒ 같은 地域(Matas de Minas)에서
다른 高度 範圍 (700m 미만, 700~825m 및 825~950m)에서 栽培한
Catuaí 品種(red 및 yellow)의 아라비카 커피를 센서리 分析했다. - 더 높은 高度에서 栽培한 yellow Catuaí 品種의 成熟한 커피(체리) 열매를 加工 후에 試飮한 結果,
더 나은 센서리 品質을 보였다. - 모든 要素가 飮料의 品質에 寄與했다.
⇒ 高度가 結果에 가장 큰 影響을 미치는 要因이었고,
⇒ 北向은 더 나은 品質의 커피를 얻는데 寄與했다 (de Souza Silveira et al. 2016).
- Lima Filho et al. (2013)은
⇒ 乾式, 醱酵 없는 濕式 또는 醱酵가 있는 濕式의 세 가지 類型의 프로세싱을 거친
로부스타 커피의 物理化學的 및 센서리 特性分析을 遂行했다.
⇒ 프로세싱에는 체리 알갱이만 使用되었으며, 모든 샘플에서 優秀한 品質의 飮料 패턴이 나타났다.
⇒ 따라서 로부스타 커피 체리에서 가장 經濟的으로 實行可能한(乾式) 加工을 사용하면
원치 않는 醱酵를 最少化하고 良質의 飮料를 얻을 수 있다. - Pereira et al. (2018)에 따르면
⇒ 加工 時 커피 열매는 자발적 또는 야생적 醱酵가 發生한다.
⇒ 粘液質(mucilage)에 存在하는 糖(sugars)과 펙틴(pectins)이
微生物, 특히 박테리아와 酵母의 成長을 許容한다.
⇒ 이 사실은
남동부에 位置한 實驗의 경우에서
물을 사용한 醱酵(fermentation with water)에 肯定的인 影響을 미쳤을 수 있고,
동쪽에 位置한 實驗의 경우에서는
否定的인 影響을 미쳤을 수 있다. - 環境이 最終 品質에 影響을 미치고, 결과적으로 濕式 및 乾式 加工이
⇒ 微生物 群集 構造와 最終 生豆의 構成에 상당한 影響을 미친다. - 커피 생태계를 硏究하는 이 體系的인 接近方式은
커피 加工에 대한 더 깊은 理解에 貢獻하며,
이 複雜한 生命工學的 工程에 대한 追加 分析 및 後續 制御를 위한
最尖端 프레임워크를 構成할 수 있다 (de Bruyn et al. 2017).
- 한편, 많은 硏究에서 農林土壤氣候 條件(edaphoclimatic conditions)이
커피 品質에 미치는 影響을 評價하지만,
高度가 로부스타 커피 品質에 미치는 影響을 分析한 科學的 硏究는 거의 없다. - Sturm et al. (2010)에 따르면,
⇒ 高度와 C. canephora 品質 間의 關係를 調査하기 위해
⇒ 이 種의 다른 遺傳子型을 가진 作物을 使用하여 遺傳子型과 特定 環境 間의 相互作用을 피했다.
⇒ 그 作物은 Espírito Santo 주에 位置해 있다.
⇒ 이 硏究에서는 250m 미만, 250~500m, 500m 이상의 다른 高度에서 7개의 植栽 시즌의 커피 샘플을 使用했다.
⇒ 센서리 分析과 統計分析에 따르면
⇒ 高度가 로부스타 커피 飮料의 品質에 影響을 미치는 것으로 나타났으며, 高度가 높을수록 品質이 더 좋았다.
⇒ 로부스타 커피가 가까운 미래에 氣象條件으로 인해
아라비카 커피 生産에 適合하지 않은 地域으로 移動할 可能性이 있음을 示唆한다. - 쉐이딩(Shading)은
⇒ 커피빈의 生産性과 品質에 影響을 줄 수 있는 또 다른 要素이다.
⇒ 브라질에서는 특히 C. canephora의 경우 완전한 햇빛 아래에서 커피를 심는 栽培가 있다.
⇒ 콜롬비아, 코스타리카, 에콰도르, 과테말라를 포함한 다른 라틴 아메리카 국가에서는
쉐이딩을 사용하여 C. arabica를 栽培하는 것이
스페셜티 커피를 生産하는 傳統的인 技術이다 (Jaramillo-Botero et al. 2006). - 브라질에서 그늘진 環境에서 栽培되는 커피의 生存可能性(viability)을 確認하기 위한 硏究가 遂行되었다.
- Dandengo et al. (2014)은
⇒ C. canephora 苗木의 成長과 品質에 대한 그늘 水準을 評價하고
⇒ 그늘진 條件 下에서의 苗木이 완전한 햇빛 아래에서 栽培된 苗木보다
더 높은 成長과 더 나은 品質을 보였다는 것을 發見했다. - 또 다른 한 硏究에서 C. canephora가
⇒ Gliricidia sepium (그릴리시아 세피움)과
Erythrina poeppigiana (mountain immortelle) (樹木性 콩과식물)와 聯關하여 栽培되었고,
한 시스템은 full sun 아래에서 栽培되었다.
⇒ 이 경우 쉐이딩은
土壤 溫度와 잎의 減少를 가져왔고,
熱 振幅(thermal amplitude)을 最少化했다 (Ricci et al. 2013). - 커피 品質은
⇒ 여러 要因에 따라 달라지지만
⇒ 飮料의 맛과 香에 直接的인 影響을 미치는 것은 → 化學 成分이다. - 穀物의 化學的 組成은
⇒ 環境 要因, 크롭 처치 및 加工의 影響을 받을 수 있지만,
⇒ 이 組成에서 特定 寄與 要因들은 遺傳的이다. - C. arabica와 C. canephora 種, 그리고 다른 코페아 種은
⇒ 카페인, 트리고넬린, 클로로겐酸 및 蔗糖의 水準과 관련하여 서로 다른 水準을 나타낸다.

- Table 5.2는
➡ 商業用 品種인 Coffea arabica와 Coffea canephora의 커피 生豆에서 드라이 基準으로
化學 成分들에서 發見되는 퍼센트 값들을 보여준다.
➡ Coffea eugenioides, Coffea liberica, Coffea congensis, Coffea kapakata 그리고
Coffea racemosa와 같은 非商業用 品種의 化學 成分 百分率도 提示되었다. - 카페인 數値와 관련하여,
⇒ Coffea arabica (1.2%)와
⇒ Coffea canephora (2.2%)에서 다른 값들이 發見되었다. - Coffea canephora와 Coffea congensis는 카페인 含量이 비슷한 반면,
Coffea kapakata와 Coffea racemosa 種은 Coffea arabica에 대해 설명된 것과 類似한 水準의 카페인을 가지고 있다 (Table 5.2). - 總 클로로겐酸에 대해 發見된 값 중에서 가장 높은 값은 Coffea canephora에서 報告되었다.
- 糖 含量에 있어서, 蔗糖(sucrose)은
⇒ Coffea arabica에서 Coffea canephora에 비해 두 배나 發見되지만,
⇒ Coffea canephora의 還元糖 數値가 더 높은 것으로 說明되어 있다. - 리그닌(Lignins), 렉틴(lectins) 및 蛋白質(proteins)은 비슷한 水準으로 發見되며,
트리고넬린(trigonelline)은 Coffea kapakata와 Coffea eugenioides에서 더 높다 (Martinez et al. 2014). - 로부스타 커피는 아라비카 커피보다
⇒ 카페인과 클로로겐酸 含量이 높아
⇒ 飮料의 astringency에 影響을 미칠 수 있다. - 아라비카 커피(C. arabica)는
⇒ 飮料가 더 부드럽고 달콤하기 때문에
⇒ 消費者의 受容度가 더 높고
⇒ 콩의 平均 sucrose 含量은 로부스타 커피(C. canephora)의 거의 두 배이다. - 그러나 種 自體 內에서 化學的 組成과 感覺的 特性이 다를 수 있으므로
遺傳的 改良 戰略이 飮料 品質 向上에 寄與할 수 있음을 나타낸다 (Martinez et al. 2014).
- 環境的 要因 외에도 收穫 後 狀態가
⇒ 이 段階에서 커피 品質을 決定하는 要因 중 하나라는 事實이 알려져 있으며,
⇒ Borém et al. (2008)과 같은 硏究에서는
커피의 乾燥 時間(drying time)이 다양한 類型의 乾燥 및 加工에 影響을 받는다는 事實을 觀察했다. - 이러한 論據에서 Pinheiro et al. (2012)에 따르면,
⇒ clear plastic tarpauli로 덮인 시멘트 마당(suspended cement yard)에서 乾燥된 커피 샘플의
로부스타 커피 品質 媒介變數가
機械的 乾燥機 乾燥 샘플에 비해 더 나은 것으로 觀察되었다.
⇒ 이 샘플의 경우
電氣 傳導度, 칼륨 浸出(potassium leaching), 總 滴定酸度(total titratable acidity) 값이 낮고
還元糖(reducing sugars) 레벨이 더 높았다.
⇒ 日光 乾燥(一般 및 溫室)에서 乾燥된 샘플의 grease acidity 값이 더 높았다. - 커피 生豆와 焙煎 커피의 香은 매우 다르며,
┌ 커피 生豆에는 ⇒ 약 250가지의 揮發性 化合物이 있는 반면,
└ 焙煎 커피에는 ⇒ 이러한 成分이 800개 이상 있을 수 있다. - 焙煎 커피의 이러한 揮發性 化合物들은
⇒ 위에서 言及한 바와 같이, 여러 가지 反應에 의해 로스팅 段階에서 形成되며,
⇒ 그 중 하나가 Maillard Reactions로,
還元糖(reducing sugars)이 아미노산(amino acids)과 凝縮되어
커피 알갱이에 어두운 색을 주는 멜라노이딘(melanoidins)을 形成하는 反應이다 (Nijssen et al. 1996). - Table 5.3은 ➡ 볶은 커피에 存在하는 主要 揮發性 化合物을 보여준다.

7 Chromatography Applied to the Analysis
of the Chemical Composition of Coffee
- 커피의 化學的 組成(chemical composition of coffee)을 決定하는 것은 飮料 品質과 관련된 媒介變數를 얻는 것과 관련하여 매우 重要하며, 食品으로서 커피의 경우에도 마찬가지이다.
- 커피는 機能性 食品(functional food)으로 여겨지며, 커피의 化學 成分과 抗酸化 特性을 定量化하고 分析하는 것은 學問的 關心事일 뿐만 아니라, 飮料 消費者에게 傳達하고 얻어야 할 重要한 情報이기도 하다.
- 따라서 揮發性 및 非揮發性 커피 化合物은 크로마토그래피 技術을 통해 分析되고 定量化되었다
(Monteiro and Trugo 2005; Vignoli et al. 2014; Yashin et al. 2017). - Chromatography는
⇒ 混合物의 成分을 두 相(mobile phase 移動相과 stationary phase 固定相)에 分散시켜
分離하는 物理化學的 方法이다.
⇒ 두 相은 密接하게 接觸되어 있다.
⇒ 固定相에 강하게 固定된 成分은 移動相의 흐름에 따라 느리게 移動한다.
⇒ 그 사이, 固定相과 弱하게 相互作用하는 構成 要素는 더 빠르게 움직인다.
⇒ 이러한 差別化된 移動의 結果로 混合物의 多樣한 構成要素가 별개의 밴드로 分離되고
定性的으로 個別的으로 또는 定量的으로 分析될 수 있다 (Collins et al. 2006; Nuncas 2009). - 크로마토그래피는 그리스語(chroma, color, grafein, 철자)에서 由來했다.
- 20세기 초, 이 技術은
炭酸鹽(carbonate)이 포함된 琉璃 컬럼(glass column)을 使用하여 植物에서 抽出한 잎 색소를 硏究한 Mikhail S. Tswett (러시아 植物學者)에 의해 만들어졌다. 칼슘(CaCO3)과 사용된 溶媒는 石油 에테르(petroleum ether)였다. - 컬럼 크로마토그래피(column chromatography)에서부터 크로마토그래피 技術이 發展했으며,
現在는 分析의 特性에 따라 사용되는 다양한 檢出器(detectors)와 結合된 다양한 크로마토그래피 技術이 있다. - 적절한 技術의 選擇은 分劃될 混合物의 化學的 特性과 複雜性에 따라 달라진다
(Collins et al. 2006; Pacheco et al. 2015). - 最新 크로마토그래프는
⇒ 自動化,
⇒ 固定相(stationary phase)을 包含하는 薄膜(thin films)으로 채워진 最新 컬럼,
⇒ 敏感하고 選擇的인 檢出器(detectors)를 特徵으로 한다. - 가스크로마토그래프(gas chromatograph, GC)는
⇒ 移動相으로 不活性 가스(inert gas)를 使用하며, 다음으로 構成된다:
⇒ 注入器(injector),
컬럼(column) (마이크로미터 두께) (加熱 오븐(heating oven) (溫度 制御됨) 속에 위치함),
檢出器(detector) (DIC 또는 FID, MS, MS/MS).
⇒ 데이터가 컴퓨터에 記錄 및 分析되어 크로마토그램을 生成한다. - 高性能 液體 크로마토그래프(high-performance liquid chromatograph, HPLC)는
⇒ 注入器(injector),
溶媒 펌프(solvent pump),
믹서(mixer)로 構成되며,
⇒ 가장 現代的인 것은
脫氣器(degasser),
檢出器(UV, 螢光, DAD, MS, MS/MS)를 가지고 있으며,
⇒ 데이터가 컴퓨터에 記錄 및 分析되어 크로마토그램을 生成한다 (Pacheco et al. 2015). - 컬럼과 檢出器(detectors)는 分析物의 特性에 따라 使用된다.
- 分析 方法은
⇒ 더 나은 分離(better separation),
⇒ 分解能(resolution),
⇒ 더 짧은 分析 時間, 線型性(linearity),
⇒ 選擇性(selectivity) 및
⇒ 反復性(repeatability)을 얻기 위해
크로마토그래피 조건을 변경하여 實行을 最適化함으로써 만들어진다 (Collins et al. 2006; Pacheco et al. 2015). - 일반적으로,
熱에 敏感한 非揮發性 成分은
⇒ high performance liquid chromatography (分析物과 相互作用하는 液體 移動相)로 分析하고,
揮發性 成分은
⇒ gas chromatography (不活性 가스, 移動相으로 사용)로 分析한다. - 이 경우 샘플은 高溫에서 裝備에 注入된다.
- 크로마토그래피는
⇒ 旣存 標準과 比較하여 化合物을 識別하는데 使用할 수 있으며,
⇒ 바람직하지 않은 物質을 分離하여 化合物을 精製하는데 使用할 수 있으며,
⇒ 混合物의 成分을 分離하는데 使用할 수 있다 (Collins et al. 2006; Lanças 2009; Pacheco et al. 2015). - 크로마토그래피 技術을 사용하여 커피의 化學的 組成을 決定하는 것은 1980년대에 始作되었다.
- Trugo (1984)는
high performance liquid chromatography coupled with sequential mass spectrometry (HPLC-MS)을
結合하여 커피 샘플에서 非揮發性 成分(클로로겐酸)을 分析했다. - 이 硏究로부터, HPLC 分析은
⇒ 클로로겐酸 (Clifford 2000; Farah et al. 2005; Pyrzynska and Sentkowska 2015),
⇒ 카페인 (Casal et al. 2000; Shrestha et al. 2016),
⇒ 트리고넬린 (Casal et al. 2000; Monteiro and Trugo 2005; Vignoli et al. 2014),
⇒ 糖 (Pauli et al. 2011),
⇒ 아미노산 (Arnold et al. 1994; Murkovic and Derler 2006),
⇒ 有機酸 (Jham et al. 2002) 및 기타와 같은 커피의 重要한 成分을 定量化하는데 使用되었다. - 커피의 揮發性 成分은
⇒ gas chromatography (GC) 및
⇒ mass spectrometry-coupled gas chromatography (GC-MS)로 分析되었다. - 이 分析은
이러한 低分子量 化合物이 주로 커피의 香과 맛을 담당하기 때문에 매우 重要하다. - 또한, 固體相 微細 抽出(Solid Phase Micro Extraction, SPME) 및 GC-MS-結合 技術은
⇒ 커피 揮發性 物質 分析에 사용되었으며,
⇒ 主要 長點은 分析 感度가 높다는 것인데,
有機 溶媒가 없기 때문이다 (Petisca et al. 2015; Várvölgyi et al. 2015; Bressanello et al. 2017). - Gas chromatography는
⇒ 分解 없이 蒸發시킬 수 있는 有機化合物을 分離하고 分析하는데 가장 有用한 裝備 툴 중 하나이다.
⇒ 混合物 內 成分들의 相對的인 量 또한 決定할 수 있다.
⇒ 어떤 경우에는 가스크로마토그래피를 使用하여
다양한 化合物을 識別하고 定量化할 수 있다 (Collins et al. 2006; Pavia and Engel 1998). - Solid phase microextraction (固體相 微細抽出, SPME)은
⇒ 溶媒를 使用하지 않고 크로마토그래피 또는 分光分析(spectrometric analysis)을 위해
⇒ 小型化된 샘플 準備(有機成分 抽出)에 使用되는 技術이다.
⇒ 이 技術에서
分析物은 纖維의 固體 表面, 注入 바늘(injection needle) 內部 또는 毛細管(capillary) 內部에
固定된 얇은 폴리머 코팅(polymer coating)을 使用하여 吸着 또는 吸收를 통해
機體 또는 液體相에서 抽出된다 (Pragst 2007). - Fig. 5.22에 ➡ SPME 分析에 사용된 段階는 나와 있다.
- 알려진 量의 샘플(液體 또는 固體)을 바이알(vial) (유리 바이알)에 넣는다 (I).
이 경우 실에 포함된 고무 膈膜(rubber septum)으로 密封한다;
이 바이알을 원하는 溫度에서 인큐베이터(incubator)(II) 안에서 加熱한 다음,
纖維를 바이알 안에 넣고 이 段階(III)를 거친 후에 露出시킨다.

- 纖維는 담금(immersion)을 통해 샘플과 接觸할 수 있으며,
이는 小便, 殺蟲劑 또는 半-揮發性 物質 分析에 사용되는 方法이거나,
纖維가 샘플과 接觸하지 않고 주어진 溫度와 抽出時間에 샘플에서 放出된 揮發性 物質만 吸着하는
헤드스페이스 모드(HS-SPME)를 使用할 수 있다 (Pragst 2007). - 이 段階 後,
纖維는 가스 크로마토그래프 注入器(injector) 內部에 配置되고,
揮發性 成分은 脫着되어(desorbed) 컬럼(IV)에 直接 注入된다. - 適切한 크로마토그래피 條件을 使用하여 化合物을 分離할 수 있으며,
SPME-GC-MS를 組合하여 分析을 遂行하면
⇒ 質量 스펙트럼(mass spectra)을 얻을 수 있으며,
⇒ 이를 통해 라이브러리에 있는 化合物과 비교하거나
⇒ 維持率(retention rate) 또는 패턴 注入(pattern injections)을 計算해
情報를 立證하여 化合物을 識別할 수 있다.
- 커피의 揮發性 成分 分析은
⇒ 一般的으로 HS-SPME 技術과 CG-MS를 結合하여 遂行하며 (Budryn et al. 2011; Caprioli et al. 2012; Bressanello et al. 2017), 볶은 커피에서 800개 以上의 揮發性 化合物을 分析한다 (Kim et al. 2018). - 이와 같이, 크로마토그래피 技術은
커피의 非揮發性(HPLC) 및 揮發性 成分(GC, GC-MS, 그리고 HS-SPME-GC-MS의 조합)의 化學的 組成을 硏究하는데 매우 重要했다. - GC가 揮發性 化合物을 分離하는 最初의 分析 方法이다.
- 그것은 分析 速度, 分解能(resolution), 作業 容易性, 優秀한 定量 結果 및 適當한 費用이 結合되어 있다.
- 마이크로그램의 샘플만 필요하지만, 알려지지 않은 化合物(構造, 元素 構成 및 分子量)의 定性的 識別과 定量化를 위한 데이터를 提供한다 (Pragst 2007).
- 커피의 맛과 독특한 센서리 品質은 遺傳的 要素, 地理的 位置, 독특한 氣候, 多樣한 農業 慣行 및 適用된 加工 方法의 差異로 인해 그리고 분명히 가장 重要한 要素인 아로마 또는 냄새, 그리고 커피 플레이버 때문에 全 世界的으로 크게 다르다 (Sunarharum et al. 2014).
- 揮發性 化合物은
⇒ 飮料의 特徵的인 아로마를 담당하며 커피 生豆를 로스팅하는 동안 生成되지만
⇒ 一般的으로 로스팅 過程에서 마이야르 反應에 의해 分解된다.
⇒ 따라서 로스팅된 커피의 特徵的인 揮發性 化合物은
일반적으로 원래 매트릭스에 存在하지 않지만
技術的 工程 中에 生成된다 (de Maria et al. 1999). - 이 아로마는
⇒ 特質, 强度 및 濃度가 다른 수많은 揮發性 化合物들의 매우 複雜한 混合物에 의해 形成된다.
⇒ 따라서 이러한 揮發性 化合物이 커피의 最終 香에 미치는 기여도는 매우 다양하며,
⇒ 이러한 다양한 化合物 間에는 여전히
相乘的(synergistic)이고 反對的인(antagonistic) 相互作用이 있을 수 있다 (Moreira and Trugo 2020). - 揮發性 커피 化合物은 볶은 콩에서 確認된 다양한 化學物質 系列들로 構成되어 있다:
🔹푸란(furans), 피라진(pyrazines), 케톤(ketones), 알코올(alcohols), 알데히드(aldehydes),
🔹에스테르(esters), 피롤(pyrroles), 티오펜(thiophenes), 黃 化合物(sulfur compounds),
🔹벤젠(benzene) 化合物, 페놀(phenol) 化合物, 페놀(phenols), 피리딘(pyridines),
🔹티아졸(thiazoles), 옥사졸(oxazoles), 락톤(lactones), 알칸(alkanes), 알켄(alkenes), 酸類(acids),
🔹기타 鹽基들(예: 퀴녹살린(quinoxalines) 및 인돌(indoles)), 푸라논(furanones)
등이 있다 (Sunarharum et al. 2014). - Czerny et al. (1999)에 따르면,
커피 플레이버 프로필은 주로
┌ 2-furfurylthiol,
├ 4-vinylguaiacol,
├ 다양한 alky pyrazines,
├ furanones,
├ acetaldehyde,
├ propanal,
└ 그리고 CO2 形成을 통한 Strecker degradation로 인한 aldehydes에 의해 發生하며,
⇒ 많은 알데히드들이 커피에 플레이버와 아로마를 더하는 중요한 物質이다. - 푸란(Furans)과 피란(pyranes)는
⇒ 볶은 커피에서 大量으로 發見되는 헤테로고리 化合物(複素環式化合物, heterocyclic compounds)이며,
⇒ 알데히드, 케톤, 에스테르, 알코올, 에테르, 酸 및 티올과 같은 functions를 包含한다. - 量的으로, 첫 두 部類의 커피 揮發性 物質들은 ⇒ 푸란(furans)과 피라진(pyrazines)인 반면,
質的으로 黃-含有 化合物(sulfur-containing compounds)과 피라진은 ⇒ 커피 風味에 가장 重要한 것으로 간주된다 (Czerny et al. 1999). - 약 100개의 푸란이 이미 볶은 커피에서 確認되었는데,
⇒ 주로 커피에 存在하는 配糖體의 分解로 인해 發生하며
⇒ malt(麥芽)와 달콤(sweet)한 냄새가 特徵이다 (Sunarharum et al. 2014; de Maria et al. 1999). - 피라진(Pyrazines)은
⇒ 커피에 存在하는 풍부한 化合物 중 하나이며,
⇒ 濃度가 낮아 종종 커피 風味의 感覺的 閾値(sensory threshold)를 決定한다 (Sunarharum et al. 2014). - 이들은 마이야르 反應에 의해 生成된 産物에서 由來한다 (Moon and Shibamoto 2009).
- 이 化合物은
⇒ 熱을 통한 蛋白質 分解, 그리고
⇒ 아미노산 殘基들이 마이야르 反應에 參與하고
⇒ 窒素-含有 化合物의 形成에 寄與하여
⇒ 特徵的인 캐러멜 香을 生成하는 것으로 說明할 수 있다 (Hwang et al. 2012). - 피리딘(Pyridines)은
⇒ 로스팅 强度와 함께 커피에서 說明되며, 아미노산과 당 사이의 마이야르 反應에서 形成된다.
⇒ 특히, 문헌에서는 높은 强度로 焙煎된 커피 원두에서는 피리딘이 강해지고(Moon and Shibamoto 2009)
⇒ 스모크 香에 寄與한다고 한다 (Flament 2001; Ludwig et al. 2014). - 케톤(Ketones)은
⇒ 分子量이 낮으며, 豊富하고, 알데히드와 마찬가지로 로스팅된 커피의 保管 중에 減少한다.
⇒ 이러한 物質들은 感覺的 特性이 매우 다양하다. - Propanone(프로파논)은 ⇒ 과일 냄새가 나지만,
butane-2,3-dione은 ⇒ 버터와 같은 香이 난다. - 3-hydroxy-2-methyl-4H-pyran-4-one (maltol)과
사이클로텐(cyclotene)과 같은 고리형 케톤(Cyclic ketones)은
⇒ 탄 설탕과 관련될 수 있는 냄새가 난다. - β-damascenone은
⇒ 茶와 과일 香이 있으며
⇒ 最終 커피 아로마에 대한 影響 物質 중 하나로 간주된다 (de Maria et al. 1999). - 또한, 메일라드 反應의 生成物인 알데히드(aldehydes)와 에스테르(esters)는
⇒ 커피의 과일 플레이버와 말토스(maltose, 엿당) 노트를 담당하는 반면, - 디케톤(diketones)은
⇒ 버터 香에 寄與한다 (Ludwig et al. 2014). - 푸르푸랄(Furfural)과 그 誘導體인 푸르푸릴 알코올(furfuryl alcohol)은
⇒ 單糖類에서 形成되는 것으로 알려져 있으며,
⇒ 그 風味 特性은 sweet, sweet bread-like, 그리고 caramelized인 것으로 알려져 있다 (Hwang et al. 2012). - 알코올(Alcohol)은
⇒ 酵母가 脂肪酸(fatty acids)과 反應하여 에스테르(esters)를 形成하는 代謝産物 過程을 통해 生成되는데
⇒ 그 産物에 맛있는 냄새(tasty odor)를 주게 된다 (Zhang et al. 2014).
- 페놀 化合物(Phenolic compounds)은
⇒ 커피 生豆에 高濃度로 存在하는 클로로겐酸(chlorogenic acids)의 分解로 形成된다 (Hwang et al. 2012). - 페놀은
⇒ 커피에서 가장 揮發性이 강한 物質 중 하나이며,
⇒ 分解 徑路는 많은 介入(interferences)을 받을 수 있으며,
⇒ 品質과 關聯이 있거나 關聯이 없는 多樣한 揮發性 物質들을 生成할 수 있으며,
⇒ 이는 多樣한 前驅體들의 形成으로 인한 結果일 수 있다 (Moon and Shibamoto 2009). - 알칸(alkanes) 또는 알켄(alkenes)은
⇒ 커피에서 芳香族 고리(aromatic rings)를 形成하는 炭化水素(hydrocarbons)이다.
⇒ 알켄 芳香族 炭化水素(alkene aromatic hydrocarbons)의 相對的 豊富함은
로스팅 溫度에 따라 增加하고 (Fisher et al. 2015),
⇒ 그 誘導體는 커피 香과 關聯이 있다. - 커피 나무에는 뉴클레오티드들에서 傳達되는 두 가지 類型의 알칼로이드(alkaloids)가 包含되어 있다.
- 한 類型은
⇒ caffeine (1,3,7-N-trimethylxanthine) 및
theobromine (3,7-N-dimethylxanthine)과 같은 퓨린 알칼로이드(purine alkaloids)이다. - 다른 하나는
⇒ 피리딘 알칼로이드(pyridine alkaloid), trigonelinic acid (1-N-methylnicotinic acid)이다. - 植物界에서 카페인과 트리고넬린의 分布는 다르다;
┌ 카페인은 커피와 茶에 存在하지만
└ 트리고넬린은 커피에만 存在한다 (Ashihara 2006).
- 마지막으로, 一部 脂肪酸(fatty acids)과 에스테르(esters)는
⇒ 揮發性 物質에서 芳香族 과일香 고리(aromatic fruity rings) 形成을 담당하는 것으로 描寫되어져왔다. - 메틸 아세테이트 팔미트산鹽(Methyl acetate palmitate)와 에틸 팔미트산鹽(ethyl palmitate)는
⇒ 아로마틱 오일 抽出物로부터 活性 아로마틱 化合物로 檢出되었다. - 에스테르(Esters)는
⇒ 대부분 과일에서 發見되는 主要 揮發性 化合物이며
⇒ 과일香(fruity notes)을 담당한다 (Kesen et al. 2013). - 대부분의 脂肪酸은
⇒ 結合된 狀態로 發見되고,
⇒ 대부분은 트리글리세리드(triglycerides)에서 글리세롤(glycerol)과 에스테르化되고,
⇒ 약 20%는 디테르펜(diterpenes)과 에스테르化되며,
⇒ 少量이 스테롤 에스테르(sterol esters)로 發見된다 (Speer 2001). - 이 두 種類는 커피의 아로마틱 化合物들과 關聯이 있다.
- 많은 揮發性 化合物은 스페셜티 커피와 논-스페셜티 커피의 定義와 關聯이 있다.
- 이러한 化合物들의 形成, 起源 및 化學的 메커니즘에 대한 硏究는 科學 分野에서 널리 論議되었으며,
특히 C. arabica 또는 C. canephora인 揮發性 커피 化合物의 形成과 構造에 焦點을 맞추었다. - 消費者의 構造와 感覺的 經驗을 形成하는 化合物들에 대한 知覺을 最適化하는 化學 分析 技術은
커피의 化學的 매트릭스에 대한 더 明確한 理解를 目標로 産業的 日常에 점점 더 많이 適用되고 있다. - 7장에서는 로스팅 過程의 關係를 論議하고 産業 및 實驗室 水準에서 觀察된 각각의 發展을 다룬다.
- 따라서 이러한 過程이 커피의 最終 品質에 미치는 影響을 說明한다.
References













'Coffee Chemistry' 카테고리의 다른 글
| 커피 멜라노이딘의 분석, 구조, 형성경로, 생리활성 및 건강영향 (16) | 2025.07.23 |
|---|---|
| 커피 멜라노이딘 : 구조, 형성, 건강 효능 (16) | 2025.07.20 |
| 커피의 酸 – 메타 分析 (12) | 2025.07.14 |
| 커피의 有機酸 (8) | 2025.07.11 |
| 커피의 酸 (15) | 2025.07.09 |
댓글